Executive Summary
The National Evaluation of Welfare-to-Work Strategies
Evaluating Two Welfare-to-Work Program Approaches:
Two-Year Findings on the Labor Force Attachment and
Human Capital Development Programs in Three Sites
U.S. Department of Health and Human Services
Administration for Children and Families
Office of the Assistant Secretary for Planning and Evaluation
U.S. Department of Education
Office of the Under Secretary
Office of Vocational and Adult Education
December 1997
Prepared by:
Gayle Hamilton
Thomas Brock
Mary Farrell
Daniel Friedlander
Kristen Harknett
with
JoAnna Hunter-Manns
Johanna Walter
Joanna Weisman
Manpower Demonstration Research Corporation
| The Manpower Demonstration Research Corporation is conducting the National Evaluation of Welfare-to-Work Strategies under a contract with the U.S. Department of Health and Human Services (HHS), funded by HHS under a competitive award, Contract No. HHS-100-89-0030. HHS is also receiving funding for the evaluation from the U.S. Department of Education. The study of one of the sites in the evaluation, Riverside County (California), is also conducted under a contract from the California Department of Social Services (CDSS). CDSS, in turn, is receiving funding from the California State Job Training Coordinating Council, the California Department of Education, HHS, and the Ford Foundation. Additional funding to support the Child Outcomes portion of the study is provided by the following foundations: the Foundation for the Child Development, the William T. Grant Foundation, and an anonymous funder. The findings and conclusions presented herein do not necessarily represent the official positions or policies of the funders. |
Table of Contents
Acknowledgments
This evaluation could not have been conducted without the commitment and cooperation of state and county staff in its sites. Also necessary has been the initial desire of state administrators to subject their programs to intensive study. Similarly, staff in state and local agencies have remained willing to comply with the rigorous requirements of the complex research design, facilitated access to research sample members program case files, and created the automated AFDC and Food Stamp payment files and Unemployment Insurance files used in this report. These individuals are due a great deal of gratitude.
The following key staff in the locations central to this report deserve particular thanks:
in California: Bruce Wagstaff, Paul Nakashima, Paul Warren, Debra Gamble-Hojjatie, Chuck Morga, Janet Secco, and Karen Sutton and in Riverside County, Dennis Boyle, Marilyn Kuhlman, Ron Quinn, John Rodgers, Shirley Smith, Barbara Black, Herman Copsy, Terry Welborn, and Pat Virzi;
in Georgia: Michael Thurmond, Sylvia Elam, Linda Bryant, Veronica Thomas, Doug Greenwell, Jeffrey Blankenship, and Ed Nelson and in Fulton County, Ralph Mitchell, Doretha Watkins, Gwen Bailey, Judy Byerly, Freda Carroll, Dallas Chambers, Mary Parker, Linda Turner, and Nancy Chesna;
in Michigan: Gerald Miller, Dan Cleary, Gary Howitt, Leo Greco, Steve Miller, Dick Hall, F. Robert Edwards, and Dick Branch and in Kent County, Everett Vermeer, John Cole, Jim Poelstra, Ken VanLoo, John Rosendahl, Char Kramer, and Marilyn Pennebaker.
Executive Summary
Welfare reform has been near the top of the American political agenda for almost a decade, a reflection of persistent dissatisfaction with the Aid to Families with Dependent Children (AFDC) program. At the center of the reform discussion is the bedrock value of work. AFDC was created in 1935 primarily to ensure that women whose husbands had died or were disabled could care for their children without being compelled to go to work. By the end of the 1980s, however, most mothers were in the workforce, including mothers of young children, and the Depression-era commitment to helping mothers stay at home was considered obsolete. The key welfare reform question then became how best to move AFDC recipients into the workforce, toward self-sufficiency, and out of poverty still an immensely important question.
States have traditionally responded to this question by implementing one of two different welfare-to-work program strategies. The first, often referred to as the "labor force attachment" (LFA) strategy, emphasizes placing people into jobs quickly, even at low wages, reflecting a view that the workplace is where welfare recipients can best build their work habits and skills. The second, often called the "human capital development" (HCD) strategy, emphasizes education and training as a precursor to employment, based on the belief that the required skill levels for many jobs are rising and that an investment in the "human capital" of welfare recipients will allow them to obtain better and more secure jobs. Although each strategy has elements of the other¾ LFA programs include education and training components and HCD programs include job search components¾ the two approaches both convey different messages to welfare recipients about the best route to self-sufficiency and emphasize different program components.
This report examines the relative strengths and limitations of particular versions of the LFA and HCD program strategies. It includes the findings from one part of a multi-year, seven-site evaluation and draws on the advantages of a unique experimental design implemented in three of those seven sites. The evaluation had its origins in the Family Support Act (FSA) of 1988, which marked a major shift in the philosophy of welfare by establishing a system of mutual obligation between government and recipients within the AFDC entitlement structure. As part of the Job Opportunities and Basic Skills Training (JOBS) program created by the FSA, welfare recipients had to look for and accept a job or participate in employment-promoting activities such as education, vocational skills training, or temporary, unpaid work experience provided through the welfare department; if they refused, they risked losing part of their cash (and, in some cases, Food Stamps and Medicaid) benefits. In turn, government was to provide a wider array of services and supports to a broader share of the welfare population than it ever had before all with the purpose of equipping welfare recipients for work. More recently, the emphasis of welfare reform has again shifted: Recipients have stronger obligations to meet, states have a commanding and more flexible role, and the receipt of federal benefits is now subject to a time limit. Work, however, is still key. But what is the best way to make sure that welfare recipients who can work actually find and keep jobs? Various responses to that question are currently shaping federal and state welfare reform initiatives,1 and this report takes a preliminary look at two of them the LFA and HCD approaches described above.
The report is part of a larger study called the National Evaluation of Welfare-to-Work Strategies (formerly known as the JOBS Evaluation), conducted by the Manpower Demonstration Research Corporation (MDRC) under contract to the U.S. Department of Health and Human Services (HHS), with support from the U.S. Department of Education.2 The study was a response to the FSAs call for an evaluation with a random assignment design, to assess the various welfare-to-work programs anticipated under the Act. The specification of this type of research design reflected the legislators desire to obtain the most reliable estimates of the effects of these welfare-to-work programs, taking into account "normal" welfare dynamics (that is, the fact that many welfare recipients get jobs and/or leave the welfare rolls each year "normally"¾ without the help of any special program). Under a random assignment design, people eligible for a program are randomly assigned to either a program group (and subsequently enroll in the program) or to a control group, which neither has access to the program nor is subject to its requirements. This method assures that individuals in these groups do not systematically differ in their measured and unmeasured background characteristics. As a result, any differences in their subsequent job search, education, training, employment, or welfare experiences can be attributed with confidence to the effects of their particular program. (The term program "impacts" is used to refer to these subsequent differences.) In the National Evaluation of Welfare-to-Work Strategies, over 55,000 individuals in seven sites have been randomly assigned to groups who remained eligible for specific welfare-to-work programs or to groups who did not participate in these programs.
The three sites covered in this report are Atlanta, Georgia; Grand Rapids, Michigan; and Riverside, California.3 As part of a largely unprecedented effort to rigorously compare the effects of two distinct types of welfare-to-work program strategies, each of the three sites simultaneously operated two different programs: a labor force attachment program and a human capital development program.4 In each site, AFDC applicants and recipients were randomly assigned to one of three groups: a group subject to the LFA program, a group subject to the HCD program, or a control group not subject to any welfare-to-work program. (Control group members were neither eligible for any program services nor subject to program participation and employment requirements; they could, however, on their own initiative, enroll in employment-related activities normally available in their communities.)5 Based on a comparison of the experiences of individuals in the three randomly generated groups, this report presents, for single-parent AFDC recipients (94 percent of whom were women), findings on the implementation, participation patterns, and costs of the two types of programs operated in each site. In addition, the report assesses, in the short run (based on only two years of follow-up), the effectiveness of the two program approaches in promoting employment and reducing welfare expenditures.6 The major research questions addressed in the report are as follows:
Implementation. Did the LFA and HCD programs convey different messages to and provide qualitatively different experiences for welfare recipients assigned to each type of program?
Participation. Did the programs succeed in engaging a substantial proportion of individuals in program services consistent with either an LFA or HCD approach? What was the duration of participation in these services? How did participation levels in the LFA and HCD groups compare with the extent to which control group members enrolled in activities on their own?
Enforcement of a Welfare Obligation. To what extent were welfare recipients participating in a program activity, employed, or sanctioned (that is, experiencing a welfare grant reduction because they didnt cooperate with the programs participation mandate) during every month in which they were required to participate?
Cost. Was the HCD model more expensive than the LFA model, as anticipated? How did these costs compare with the costs of other services used by control group members? What accounts for differences in costs between the two models and across the three sites?
Impacts. Within the two-year follow-up period, did the two types of programs, relative to the experiences of the control group, increase employment, earnings, and GED attainment, and reduce AFDC receipt and AFDC payments?
LFA compared with HCD. Is the LFA or the HCD model more effective at this early point? Are the impacts of either model likely to be sustained, drop off, or increase past the two-year point? Do the results leave open the possibility that the HCD model may be superior in the long run?
This summary presents selected findings from the very comprehensive report. Following an overview of the findings, the rationales behind the LFA and HCD welfare-to-work program approaches are explained, highlighting the relevance of the two approaches to current welfare reform initiatives. The subsequent sections discuss findings on the nature, costs, and employment and welfare effects of the LFA and HCD program strategies, relative to what would have happened in the absence of these welfare-to-work programs; then, taking advantage of the unique research design implemented in each of the study sites, the effects of the two strategies are directly compared. Finally, the implications of the findings for current welfare reform policies are discussed.
I. Overview of the Findings
Implementing two distinct welfare-to-work programs within the same locality, and randomly assigning welfare recipients to the different programs or to a control group, represented an untried research design in welfare studies. The results indicate that the design was, in fact, implemented as was intended, and the LFA and HCD programs provided qualitatively different program experiences for welfare recipients:
- The LFA and HCD program staff communicated different "messages" to welfare recipients about how to obtain employment that is, whether to take the first job that came along or to first invest in education or training and be more selective.
- The two types of programs also differed in the way they sequenced and emphasized services. Compared with what would have happened in the absence of these mandatory welfare-to-work programs, the LFA programs most significantly increased participation in job search while the HCD programs most notably increased participation in adult basic education (not college). The HCD programs in two of the sites also increased the percentage of individuals who obtained a high school diploma or GED certificate during the two-year follow-up period by 10 percentage points, whereas none of the LFA programs resulted in any increase.
- The LFA and HCD programs were mandatory to the same degree. Staff in both types of programs frequently responded to nonparticipation by imposing welfare sanctions that is, grant reductions.
- The HCD programs cost about twice as much as the LFA programs. Most of the HCD programs costs, however, were borne by non-welfare agencies (that is, organizations providing adult education, vocational training institutes, business and trade schools, and community colleges).
Follow-up much longer than two years is needed to fully assess the relative effectiveness of the two welfare-to-work program approaches: Theoretically, only the results in the later years of the follow-up period are expected to show the predicted payoff from the HCD approach, because by then HCD sample members will have had time to put their newly acquired education and training skills to work in the job market. Similarly, longer follow-up is needed to determine whether the LFA approach will enable individuals to acquire skills on the job and "work their way up" from entry-level positions. Nevertheless, the following two-year results were found when the experiences of the LFA and HCD sample members were compared with those of the individuals in the control group:
- Both the LFA and HCD programs increased individuals two-year cumulative employment and earnings. On average, one out of every five welfare recipients who normally would not have worked in an unsubsidized job during the two-year follow-up period did so as a result of the LFA programs. In addition, two-year earnings were increased by more than $1,000 per average LFA sample member in each of the three sites, and the quarterly patterns suggest that the earnings impacts are likely to continue in follow-up year 3. The HCD programs in two of the sites led to small first-year increases in employment and earnings that grew in the second year of follow-up; HCD employment and earnings impacts were smaller and decreasing in the third site.
- The cumulative employment and earnings impacts over the two-year period were smaller for the HCD programs than for the LFA programs. Future trends, however, are not clear from the two-year data: HCD earnings impacts for most subgroups had not caught up with those of the LFA programs by the end of the two-year follow-up period, but HCD employment impacts for some subgroups had surpassed LFA impacts as of this point.
- Both the LFA and HCD programs reduced welfare expenditures within the two-year follow-up period. Relative to the total welfare payments that the control groups received over the two years, the LFA and HCD programs reduced welfare expenditures between 6 and 18 percent, depending on the site and program. This result was not expected for the HCD programs, given their initial "investment" period and the small observed HCD impacts on employment and earnings.
- The magnitudes of the welfare impacts for the LFA and HCD programs at each site were either fairly similar throughout the follow-up period or, if not, became similar by the end of the two-year follow-up period. In both types of programs, sanctions appear to have contributed to the impacts on welfare payments and partly explain why welfare savings were sometimes larger than earnings gains.
- For those who entered the study without a high school diploma or GED certificate, both the LFA and HCD approaches achieved AFDC savings. While the LFA approach consistently produced earnings impacts across all sites for this subgroup, the HCD approach did not. As a result, individuals in this subgroup who were subject to the HCD approach experienced, on average, welfare reductions that were not offset by earnings gains. For those who had a high school diploma or GED certificate at the start of the study, AFDC savings and increases in earnings were achieved by both program approaches.
The reports findings also shed light on issues of heightened importance under the recently enacted state block grants known as Temporary Assistance to Needy Families (TANF), which replaced AFDC:
- Both the LFA and HCD programs decreased the proportion of individuals who remained continuously on the welfare rolls throughout the two-year follow-up period.
- Sanction rates in these LFA and HCD programs were much higher than in previously studied programs, but the higher sanction rates were not associated with higher rates of eventually participating in program activities, compared with participation results for past programs.
- Women with preschool-age children were able to participate in program activities; moreover, earnings and welfare impacts, resulting from both the LFA and HCD programs, were found for this group as well as for women with older children.
- Although the LFA and HCD programs were not operated under TANF rules or designed to meet TANF standards, it is likely that they would have failed to meet the ultimate participation rates specified in TANF, even though they achieved many TANF aims: They engaged large numbers of individuals in employment-related activities or imposed financial sanctions on them, generally increased the number of individuals who worked during the follow-up period, and decreased welfare use and expenditures.
II. The Labor Force Attachment and Human Capital Development Program Approaches: Their Underlying Rationales and Relevance to Current Welfare Reform
The labor force attachment and human capital development welfare-to-work program approaches represent opposing views on how best to promote ongoing work and self-sufficiency among welfare recipients. According to adherents of the LFA approach, welfare recipients can best build their work habits and skills and move up to better positions in the workplace, even if their initial jobs are not high-paying, long-lasting, or particularly desirable. In contrast, proponents of the versions of the HCD approach tested in these sites believe that when more program resources are invested up-front in basic education and skill development (but not college) and entry into the labor market is delayed (relative to an LFA approach), recipients will eventually obtain better and more stable jobs, and will be less likely to lose their jobs and return to the welfare rolls. The control group, in contrast to both LFA and HCD, represents what would happen in the absence of a special, mandatory welfare-to-work program.7
Since welfare-to-work programs began in the 1970s, welfare administrators have designed programs that have leaned toward either the LFA or the HCD approach, for a localitys entire welfare caseload or for certain subgroups of welfare recipients. In the early 1990s, rigorously comparing the effects of the LFA and HCD approaches as part of a large-scale evaluation was seen as a way to provide valuable operational lessons for federal, state, and local policymakers and program administrators.
In the wake of recently enacted welfare policy changes, it remains critical to determine the effects of LFA and HCD program approaches. First, the importance of identifying successful and cost-effective ways of moving people from welfare to self-sufficiency through jobs that will last and not simply be a revolving door back to the welfare rolls increases when states are confronted with the challenges and opportunities of block grant funding, participation and "work" targets, and welfare time limits. Second, subgroup findings are more important. In order to most efficiently target state resources, it will be essential to determine who benefits the most and least from different types of welfare-to-work programs. This report examines program effectiveness for several subgroups; later evaluation documents will analyze results for many more subgroups. Third, one of the aims of the new welfare law is to increase the breadth, depth, and intensity of a welfare obligation for those receiving government assistance. The new law seeks to do that through more stringent and higher participation standards, increased penalties for nonparticipation in "work" or work-promoting activities, and expansions in the type and number of people who are required to work or participate in work-promoting activities in order to receive welfare. All these changes heighten the importance of examining the ways in which various welfare-to-work program approaches, such as the LFA and HCD strategies, can increase the extent to which individuals are "covered" by a welfare-to-work obligation. Although operated prior to the enactment of the new law, the programs in the three diverse sites examined in this report which were well run, highly mandatory, and, in Grand Rapids, required women with children as young as age one to participate can provide valuable lessons.
Finally, TANFs purpose, similar to the purpose of AFDC, is to financially provide for poor children. Continuing this focus on children, the National Evaluation of Welfare-to-Work Strategies contains a pioneering child outcomes study that will measure the effects on young children of changes in welfare parents circumstances in income, reliance on welfare, time spent out of the home, use of child care, and education achievement or literacy level that were caused by various types of welfare-to-work programs. This report indicates the extent to which the LFA and HCD programs changed parents earnings, welfare receipt, and education credentials; future documents will assess, within the evaluations strong random assignment design, whether these and other types of changes in parents daily living circumstances affected their childrens cognitive development, behavioral and emotional adjustment, and physical health and safety.
III. Implementation of Distinct LFA and HCD Programs
- In each of the three sites, the LFA and HCD programs conveyed different messages to welfare recipients about the most expeditious route to self-sufficiency and provided recipients with distinctly different in-program experiences.
Setting up and running two different welfare-to-work programs and randomly assigning individuals to the various programs (or to a control group) in order to produce more credible results than those generated by cross-site comparisons was an untried welfare-to-work program research design when this evaluation began. While a number of earlier studies have examined the effects of specific additional program components using a three-group random assignment design, no prior welfare-to-work program evaluations have implemented this type of design to determine the effects of different comprehensive program models, emphasizing different program components and contrasting messages about the best means through which to achieve self-sufficiency. Therefore, one of the initial questions that should be addressed is: Was it possible, in fact, to implement such a research design? In brief, based on extensive data collected from field research, surveys of program staff and welfare recipients, and program case files, the answer is yes.
Staff in the LFA programs consistently pushed welfare recipients to get into the labor market quickly and encouraged them to not be too selective in deciding whether to take a job, and the available evidence suggests that welfare recipients in the LFA programs absorbed and understood this message. Program assignments also reflected this message: The first activity to which LFA sample members were assigned was usually "job club," which consisted of several weeks of classroom instruction on how to look for and obtain jobs, followed by several weeks, in a supervised setting, of calling employers and lining up interviews. The instruction and resources included in this activity were uniformly designed to help the participants rapidly obtain employment.
Staff in the HCD programs, in contrast, encouraged welfare recipients to invest time in education or training in order to prepare themselves for good jobs and, while HCD staff tended to encourage individuals to accept job offers when they came along, a lower percentage of HCD sample members, in comparison with LFA sample members, reported that they felt pushed to take a job quickly. HCD program assignments were in line with these messages: The first assigned activity for HCD sample members was generally adult basic education courses or, less commonly, vocational training courses.
- While contrasts between the LFA and HCD approaches within each site existed, the three sites implemented the LFA model and, especially, the HCD model somewhat differently. This was to be expected, as the two models were ideal types; when transformed into real programs, they inevitably were shaped by and adapted to their very different environments.
The LFA and HCD programs built on the three sites varied prior experiences in operating welfare-to-work programs. In addition, each program was tailored to fit the divergent characteristics of its own welfare population, labor market, and available community employment and training services (shown below in Table 1). Individuals entering Atlantas programs, for example, had reading and math test scores that were, on average, much lower than those of sample members in the other two sites. As might be expected as a result, staff in Atlantas programs emphasized basic education to a much greater degree than vocational training and college, compared with staff in the other two sites.
Table 1
Site and Sample Characteristics
| Characteristic | Atlanta | Grand Rapids | Riverside | |||
|---|---|---|---|---|---|---|
| | ||||||
| Site County unemployment rate, 1993 (%) |
6.2 |
5.5 |
11.7 | |||
| Average monthly AFDC caseload, 1993 | 23,113 | 7,508 | 27,775 | |||
| AFDC grant level for a family of three, 1993 | $280 | $474 | $624 | |||
| Sample | ||||||
| Percent of sample members: | ||||||
| 35 | 22 | 49 | |||
| 1 | 44 | 6 | |||
| 41 | 3 | 3 | |||
| 44 | 42 | 43 | |||
| 61 | 39 | 37 | |||
| 8 | 36 | 12 | |||
| 31 | 36 | 29 | |||
| 54 | 33 | 28 | |||
| Median hourly wage at which sample members said they would take a full-time job | ||||||
| $6 | $6 | $7 | |||
| $7 | $8 | $10 | |||
In addition, the programs reflected site differences in staff management methods, the level of emphasis on providing personalized attention and encouragement to welfare recipients, and approaches to monitoring participation in program activities. Relative to the programs in the other two sites, for example, Grand Rapids was notable for closely monitoring individuals program participation and strictly enforcing participation rules; in the event of a failure to participate in an assigned program activity, individuals were sanctioned without delay.
Finally, the programs operated within the context of state welfare-to-work program policies and procedures. Riversides programs, for example, operated under regulations governing welfare recipients participation in adult basic education, specified by Californias Greater Avenues for Independence (GAIN) program, the states JOBS program. These regulations had the effect of restricting Riversides HCD program to individuals who entered the study without a high school diploma or GED certificate.8
In sum, these particular sites provided the opportunity to compare the effectiveness of the LFA and HCD programs in three very different environments. The three boxes that follow highlight key site implementation differences and discuss how each of the sites concurrently implemented LFA and HCD programs.
IV. Findings for the LFA Approach
- Although most individuals participated in job search while in the LFA programs, in both design and practice LFA program approaches do not consist of only this activity; short-term education and training activities, and unpaid work experience, were provided for individuals who were unsuccessful in their job search attempts.
The vast majority of individuals in the three LFA programs were first assigned to, and participated in, job search. Individuals who did not obtain work through job search were usually assigned to short-term education, vocational training, or unpaid work activities so they could boost their skills and resume their job search as soon as possible. In addition, some individuals were already participating in self-initiated education or training activities when they were randomly assigned to the LFA program; usually, they were allowed to continue in these activities as their program assignment.
For several reasons, LFA sample members in Riverside were less apt to participate in non-job search activities than were individuals in the LFA groups in the other two sites. First, clients were more often temporarily deferred from program participation in Riverside than in Atlanta or Grand Rapids, which resulted in lower participation rates in job search and non-job search activities in Riverside than in the other two sites. Second, among the Riverside sample members who participated in job search as an initial activity, about two-fifths found jobs while in this activity a proportion that is much higher than the comparable one in Atlanta and somewhat higher than the one in Grand Rapids. As a result, fewer Riverside LFA sample members were available for a subsequent program assignment, relative to the other sites.
| Atlanta "Customer Orientation" and Strong Staff Preferences for HCD Under FSA initially (in the late 1980s), Atlantas welfare-to-work program primarily served volunteers, due to a lack of sufficient case management staff to serve the entire JOBS-mandatory caseload. Prior to being selected as an evaluation site, however, Atlanta doubled its staffing capacity and shifted to a fully mandatory program. Compared with the programs in Grand Rapids and Riverside, Atlantas LFA and HCD programs were distinguished by a "customer-service orientation" toward welfare recipients. Case managers emphasized counseling and the benefits the programs offered in the form of child care and transportation assistance. In addition, Atlanta staff did not monitor individuals participation in program activities as closely and were more ambivalent about requesting financial sanctions for nonparticipation. Nevertheless, substantial proportions of LFA and HCD sample members in Atlanta were sanctioned during the two-year follow-up period, and Atlanta welfare recipients, through surveys, indicated that they heard the messages about the mandatory nature of participation in the sites welfare-to-work programs. Under the evaluation, Atlanta program administrators set up separate LFA and HCD welfare-to-work programs by dividing their staff into LFA and HCD case managers. These case managers were responsible for translating the abstract concepts of "LFA" and "HCD" programs into concrete service plans for welfare recipients. Caseloads in Atlanta averaged 95 per LFA case manager and 88 per HCD case manager, lower than the caseloads in the other two sites. In Atlantas LFA program, as was the case in the other two sites, LFA sample members were generally first assigned to job club, which in Atlanta was operated in the JOBS office but was led by staff contracted through a community action agency. The classroom instruction section of job club lasted as long as three weeks, and was followed by one to two weeks during which sample members applied their job-seeking skills by calling employers, arranging interviews, and submitting job applications; at least 6 in-person contacts or 15 employer inquiry letters were required weekly. For those Atlanta LFA sample members who did not find a job during job search, many different activities could follow: vocational training, basic education, further job search, or unpaid work experience. Atlantas HCD program was notable for its high level of commitment to the HCD philosophy: On every measure concerning the HCD message, Atlanta came across as the most "HCD-oriented" of the three studied sites. Atlanta HCD sample members were typically first assigned to adult basic education programs or, less frequently, to vocational training programs. Atlanta emphasized basic education much more than other skills-building activities (e.g., vocational training and college), an emphasis that was apparent in the HCD programs in all three sites but was stronger in Atlanta. (Across all three sites, this emphasis reflected, in part, the fact that over two-fifths of all sample members lacked the high school diploma or GED certificate that was often required for entry into vocational training or college programs; additionally, in Atlanta, one of the sites largest vocational training providers required most program applicants to pass a basic academic skills test for entry.) Atlanta HCD sample members typically stayed in their initially assigned basic education or vocational training activity for many of the months they remained on welfare during the follow-up period; few individuals completed these activities and, if they were still receiving AFDC, moved on to subsequent assignments. |
| Grand Rapids Staff Divided in their Preferences for LFA or HCD; Throughout the 1980s, Grand Rapids welfare-to-work programs placed an unusual emphasis on enrolling a high percentage of the mandatory AFDC caseload in job search. Following the FSA, the site, in accordance with Michigan policy, converted to a human capital development-focused program. Grand Rapids experience in operating both types of welfare-to-work programs qualified the site as a virtually perfect candidate for directly comparing LFA with HCD. Perhaps because of this mixed heritage, Grand Rapids staff did not, as a group, heavily favor either the LFA or HCD approach. Relative to the other two sites, Grand Rapids was notable in both its LFA and HCD programs for its close monitoring of clients participation and its exceptionally tough enforcement of participation rules. Grand Rapids program staff were also less likely to provide personalized attention or encouragement to their clients. The structure of the case management position in Grand Rapids probably limited case managers ability to get to know their clients well: Rather than divide case managers according to the LFA or HCD program approach, as was done in the other two sites, in Grand Rapids the staff were separated into intake and ongoing case managers (with average caseloads of 120) and staff used color-coded case files to remind them whether an individual was in the LFA or HCD program. In addition, unlike the other sites, Grand Rapids ongoing case managers specialized according to service provider; one case manager, for example, would handle all individuals enrolled in a particular education program and another case manager would work with those assigned to a specific vocational training center. (In the other two sites, staff worked continuously with the same individuals, regardless of the activity in which they were enrolled.) Finally, the Grand Rapids site was unusual in that approximately one-third of the sites research sample members were already enrolled in an education or training program, as a result of their own initiative, at the point when they entered the study. As was the case in Atlanta, job club was generally the first assigned activity in Grand Rapids LFA program, but job club in this site was operated by public school staff in a community education center separate from the welfare office. Classroom instruction in job club lasted two weeks and was followed by three weeks of job search, during which time participants were required to make at least 6 in-person employer contacts or to send at least 15 letters of inquiry (the same requirements as those in Atlanta). For individuals who did not find a job through job search, the next assigned activity was most typically unpaid work experience, but sample members were also assigned to vocational training, basic education, and further job search. Grand Rapids HCD program had several distinguishing characteristics. The first step in this program was a 15-hour, week-long, formal group assessment, conducted by staff from the public school system. It consisted of extensive testing of educational achievement and vocational aptitudes, plus an in-depth exploration of individuals goals and career interests. Grand Rapids also differed from the other sites in that it made more use of vocational training, which probably reflected a variety of factors: an unusually large number of training providers in the community; aggressive recruiting on the part of the providers; and the fact that Job Training Partnership Act (JTPA) staff, who had contracts with vocational training providers, conducted the interviews in which individuals HCD activity plans were developed. Finally, unlike the other two sites, Grand Rapids HCD sample members were most frequently enrolled in high school completion programs rather than referred to GED programs, reflecting the fact that the State of Michigan funded this activity but not GED classes. |
| Riverside Strong Staff Preferences for LFA; Riversides welfare-to-work program, Californias Greater Avenues for Independence (GAIN) program, began in 1987. Even before its conversion to JOBS after the FSA, Riversides program (along with the statewide GAIN program) placed an unusual emphasis on enrolling AFDC recipients with low literacy levels or no high school diploma or GED certificate in basic education activities. In a six-county evaluation of GAIN started prior to the National Evaluation of Welfare-to-Work Strategies, Riversides late-1980s program was found to have the largest impacts on the earnings and welfare receipt of single-parent AFDC recipients. For the National Evaluation of Welfare-to-Work Strategies, Riverside changed its GAIN program somewhat. Most notably, in the late 1980s, individuals without a high school diploma or GED certificate could opt to first attend a job club instead of participating in basic education; in the early 1990s, during this evaluation, these same individuals were routinely assigned to job club if they were in the LFA group and to basic education if they were in the HCD group. Riverside was distinctive from the other two sites included in this report in its performance standards, which held case managers who had average caseloads of 110 in the LFA program and 118 in the HCD program accountable for their clients employment or education outcomes. Case managers responded to these measures in a variety of ways, including placing a high emphasis on encouraging clients to succeed in their assigned programs and monitoring clients attendance and progress closely. Staff also were tough in enforcing program participation, although Californias sanctioning rules provided individuals with more opportunity to come into compliance before sanctions went into effect than was the case in Atlanta or Grand Rapids. Like the other two sites, Riversides LFA program emphasized job club as a first activity, and JOBS staff operated these sessions within the JOBS offices. In contrast to the job clubs in the other two sites, however, the classroom part of Riversides job clubs was one week shorter and did not promote career exploration at all. One unique exercise that Riversides job clubs did stress was an individualized comparison of welfare versus earned income, with the result being an estimate, for each person, of the wages and job hours they needed to do better than welfare. In the two weeks of job search required following job club, individuals were to make 25 to 35 contacts of some type with employers each week. Among the three sites, Riverside was the only site that used full-time job developers, who contacted employers, learned about job openings and qualifications, and notified program staff and clients about these opportunities. During the five weeks of Riversides job club and job search, some individuals left the activity because they found jobs (many of them part-time jobs that still allowed the job-holders to qualify for AFDC); some individuals dropped out for other reasons, and were either deferred from further activity or sanctioned; and only a few completed the entire job club/job search sequence and were given a subsequent program assignment. In its HCD program, Riverside stood out from the other sites most notably in its clientele and assigned activities: Since only individuals who lacked a high school diploma or GED certificate were eligible for Riversides HCD program, there was very limited use of vocational training or post-secondary education. In addition, Riverside negotiated contracts with schools and used its JOBS dollars to help pay for basic education classes in the schools serving JOBS clients. The site took advantage of its resources and contracting authority to specify incentive payments, based on very precise criteria, that would reward schools that succeeded in getting individuals to make progress in and complete their education assignments (and "completion" often meant that literacy test scores had increased, not that a GED certificate or high school diploma had been obtained). In contrast, Atlanta and Grand Rapids generally relied on education providers funded by sources outside of JOBS (usually state and local education departments), placed more discretion in the hands of the education providers, and stressed acquiring a GED certificate or high school diploma. |
Reflecting the role of activities other than job search in the LFA programs, a substantial share of the per-sample-member cost of providing services while individuals were enrolled in the LFA programs was spent on education or training activities. In addition, as shown in Figure 1, this share varied widely by site because the LFA case managers in Atlanta and Riverside stressed education and training activities to differing degrees and because many of the sample members in Grand Rapids who entered the LFA program had already started an education or training program; in most cases, Grand Rapids LFA case managers allowed them to continue these activities in fulfillment of their welfare-to-work program obligation.
Figure 1
Percent Distribution of Two-Year Program-Related Costs per LFA Sample Member, by Activity

- Overall, compared with what would have happened in the absence of a welfare-to-work program, the three LFA programs most dramatically increased participation in job search.
In all three sites, as shown in Figure 2, LFA sample members were at least seven times more likely to engage in job search than their control group counterparts during the two-year follow-up period. (The first bars in the Atlanta section of the figure, for example, illustrate that 65 percent of the sites LFA group members participated in job search during the follow-up period, compared with 6 percent of the Atlanta control group members.) In addition, in Atlanta, relative to the control group members independent employment-related activities, the LFA program also resulted in substantial increases in basic education participation. The LFA programs increases in participation, relative to participation levels in the control group, were similar for those who did and did not have a high school diploma or GED certificate as of program entry. (These results are not shown in Figure 2 but appear later, in Figures 9, 10, and 11.)
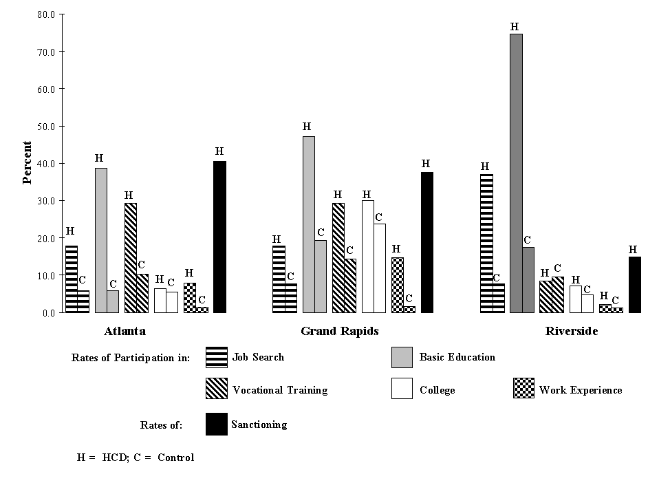
The three LFA programs also sanctioned substantial numbers of individuals for failing to participate in a program activity (see Figure 2). Sanctioning rates were extremely high in Grand Rapids, where 42 percent of all LFA sample members were sanctioned.
Figure 2
Rates of Participation and Sanctioning, by Site and LFA or Control Group Status

-
Excluding spending that would have occurred in any case that is, without any special welfare-to-work program the two-year net LFA per-person cost, averaged across the three sites, was $1,550. Welfare departments paid the majority of the program costs, but non-welfare agencies provided and paid for a substantial share of the LFA program services.
The gross cost per LFA sample member during the two-year follow-up period consists of costs paid by welfare departments and non-welfare agencies, while sample members were enrolled in the LFA programs as well as after they exited the programs and, in some cases, left AFDC. The gross cost ranged from $2,082 to $4,406 across the three sites (see Table 2). Welfare departments paid only a portion of the gross cost, since some of the services of the LFA programs were provided and paid for by organizations offering adult education, vocational training institutes, business and trade schools, and community colleges. Across the three sites, for every dollar welfare departments spent operating the LFA programs, they were able to secure another $.78 worth of services from non-welfare agencies.
The net cost per LFA sample member during the two-year follow-up period consists of the gross LFA cost minus the gross cost per control group member. The net cost thus represents how much was spent per LFA sample member in addition to what would have been spent in the absence of a mandatory welfare-to-work program. While Grand Rapids had the highest gross cost per LFA sample member, it also had the highest gross cost per control group member (owing to the many control group members enrolled in self-initiated activities), resulting in the lowest net cost of the three sites. Riversides net cost per LFA sample member was also relatively low, but was due to the low participation by LFA sample members in education and training activities. Atlanta LFA sample members tended to participate more in education and training, relative to the other sites, so net costs were higher in this site.
Table 2
Two-Year LFA Gross and Net Costs (in 1993 Dollars)
| | |||
| Site and Activity | Gross Cost per LFA Sample Member | Gross Cost per Control Group Member | Net Cost per LFA Sample Member |
|---|---|---|---|
| | |||
| Atlanta | |||
| Operating costs | $2,345 | $758 | $1,587 |
| Support services | 968 | 277 | 691 |
| Total | 3,312 | 1,035 | 2,277 |
| Grand Rapids | |||
| Operating costs | 4,013 | 3,090 | 922 |
| Support services | 393 | 207 | 186 |
| Total | 4,406 | 3,298 | 1,108 |
| Riverside | |||
| Operating costs | 1,945 | 789 | 1,156 |
| Support services | 137 | 29 | 107 |
| Total | 2,082 | 819 | 1,263 |
NOTE: Rounding may cause slight discrepancies in calculating the sums and differences.
- The LFA programs produced immediate increases in employment and AFDC savings relative to what would have happened in the absence of a mandatory welfare-to-work program. These results were found in all three sites, suggesting that the LFA approach can have positive effects in different geographical and economic environments, for different types of welfare recipients, and with staff who have different attitudes and work styles.
The labor market and welfare behavior of the control group represent what would have happened to study sample members in the three sites in the absence of a mandatory welfare-to-work program. Over two years of follow-up, as shown by the two-year earnings levels in Figure 3, control group members earned, on average, between $3,410 (in Atlanta) and $4,174 (in Riverside). (These figures include those who did and did not work during the follow-up period.) Comparing the average two-year earnings of the controls with those of LFA group members (see Figure 3), the LFA programs increased earnings by more than $1,000 per average sample member in each of the three sites.
The quarterly earnings impact patterns depicted in Figure 3 reflect the difference between the LFA and control groups earning levels. As the graph suggests, the earnings impacts in all sites are likely to continue in follow-up year 3. In Atlanta, for example, the earnings impact (that is, the difference between the LFA and control groups) was relatively small during the first several quarters of the follow-up period. Starting in quarter 4, however, the difference between the two groups earnings increased, with the magnitude of the difference (that is, impact) stabilizing or declining slightly beginning in quarter 6. Given that the Atlanta quarterly earnings impacts remained between $164 and $208 per quarter in the last four quarters of the follow-up period, it is likely that earnings impacts will continue to accrue in the third year of follow-up (for which data are currently unavailable).
Various types of changes can contribute to earnings impacts to varying degrees: More people might be working as a result of the program; on-the-job earnings might increase for people who would have worked even in the absence of the program; or those same people might keep their jobs longer. In Grand Rapids and Riverside, impacts on total earnings were generated solely by increases in employment, without increasing earnings for those who normally would have worked or leading to longer-lasting jobs. In Atlanta, increased earnings on the job, in addition to increases in employment, generated total earnings impacts.
Figure 3
LFA Impacts on Earnings

AFDC savings were also achieved in all three sites. Relative to the total AFDC payments that the control groups received within the two-year follow-up period (shown by the unshaded bars in Figure 4), the LFA programs reduced welfare expenditures by $368 to $1,338, depending on the site. These reductions represented savings of 7 to 18 percent, relative to the welfare payments that control group members received. As suggested by the graph of quarterly impact patterns in Figure 4, the AFDC savings are likely to continue to accrue in future follow-up years. In Grand Rapids, for example, while the difference in the AFDC grant amounts received each quarter by the LFA and control group members started to become smaller after the fifth quarter of the follow-up period, this difference (that is, impact) was still substantial ($139) and statistically significant in the last (ninth) quarter, suggesting that AFDC savings will continue.
In all three sites, most of the AFDC savings can be attributed to a reduction in the number of months individuals received AFDC payments at all. A significant portion of the savings, however, especially in Riverside and Grand Rapids, was explained by reduced payment amounts during months when individuals were still receiving AFDC.
Figure 4
LFA Impacts on AFDC Payments

- The LFA programs reduced joblessness and decreased the proportion of individuals on AFDC at the end of the two-year follow-up period, but up to half of the LFA sample members were on the welfare rolls, and not employed, at the end of the tracked two years.
As in previously studied programs, the three LFA programs reduced overall joblessness: On average, one out of every five AFDC recipients who normally would not have worked during the two-year follow-up period did so as a result of the LFA programs. In addition, compared with the control group members, the proportion of individuals in the LFA programs who were receiving welfare benefits at the end of the follow-up period decreased from 7 to 11 percent, depending on the site. Finally, the LFA programs produced earnings and welfare impacts for individuals who had a high school diploma or GED certificate at the beginning of the study as well for those who entered the study without these education credentials.
However, between 50 and 68 percent of LFA sample members were receiving welfare at the end of the two-year follow-up period; moreover, between 38 and 50 percent were both receiving AFDC benefits and were unemployed at this point.
V. Findings for the HCD Approach
- Compared with the LFA approach, the implementation of the HCD approach was more varied in the three sites, indicating that HCD approaches can encompass a broader range of activities and aims.
Welfare recipients in the HCD programs in all three studied sites were encouraged to initially invest time in education or training in order to prepare themselves for good jobs, and activity assignments reflected this emphasis. The Atlanta and Grand Rapids HCD programs, however, were markedly different from Riversides HCD program, partly owing to the sample characteristics of those eligible for Riversides HCD program. In Atlanta and Grand Rapids, HCD sample members were commonly assigned to basic education programs (such as high school completion classes, GED preparation courses, classes for those with low achievement levels, or English as a Second Language [ESL] courses) or to vocational training activities; job search and work experience were also frequently assigned. In Riverside, as discussed earlier, the HCD program included only individuals without a high school diploma or GED; HCD assignments were limited to basic education, and assignments to vocational training or other activities were rare. In all three HCD programs, however, college played a very small role: If individuals were already enrolled in college, they were generally allowed to continue; assignments to college, however, were usually not made. All in all, while different types of activities were permitted in the three HCD programs, basic education was the predominant activity in which individuals participated during the two-year follow-up, primarily as a result of welfare recipients low levels of educational achievement.
HCD program participants in education and training activities were also allowed to remain in these activities for a substantial period of time. (Education and training assignments in the HCD programs could last up to two years, while education and training assignments in the LFA programs were limited to nine in-program months.) As a result of the large number of HCD sample members who participated in education or training, along with the length of time they spent in those activities, at least 65 percent of the cost of providing services while individuals were enrolled in the HCD programs in each site was associated with education or training activities (see Figure 5). In contrast, this percentage was much lower in the LFA programs, particularly in Atlanta and Riverside.
- Compared with what would have happened in the absence of these special programs, all three HCD programs most dramatically increased participation in adult basic education; in two of the sites, participation in vocational training programs was increased as well, though the increase was not as large.
Figure 5
Percent Distribution of Two-Year Program-Related Costs per HCD Sample Member, by Activity

NOTE: The Riverside sample includes only individuals without a high school diploma or GED certificate.
Levels of participation in employment-related activities among individuals in the HCD group and those in the control group are presented, by site, in Figure 6. Over six times as many HCD group members as controls in Atlanta participated in basic education programs; participation in this type of activity was increased more than twofold in Grand Rapids; and HCD group members in Riverside, who all lacked a high school diploma or GED certificate, were over four times as likely as their control group counterparts to participate in a basic education program. In addition, the HCD programs in Atlanta and Grand Rapids increased participation in vocational training; and the HCD programs in all three sites but especially the one in Riverside increased job search participation. Also, for HCD sample members in both Atlanta and Riverside, the HCD programs had the effect of increasing the number of hours that basic education participants spent in classrooms (not shown in Figure 6). For example, Atlanta HCD group members, compared with their control group counterparts, spent, on average, 256 more hours in basic education programs. Finally, as shown in Figure 6, substantial numbers of HCD sample members, particularly in Atlanta and Grand Rapids, were sanctioned for failing to participate in a program activity within the two-year follow-up period.
- The average two-year net HCD cost per sample member was about double that of each LFA sample members cost. Non-welfare agencies bore the majority of the costs of operating the HCD programs.
The gross cost per HCD sample member during the two-year follow-up period consisting of costs paid by welfare departments and non-welfare agencies, while sample members were enrolled in the HCD programs as well as after they exited the programs ranged from $3,540 to $6,170 across the three sites. (See Table 3.) Welfare departments paid only a portion of the gross cost, however. Averaged across the three sites, HCD program-related costs paid by welfare departments were only $406 higher per HCD sample member than per LFA sample member ($1,747 versus $1,341, respectively). Put another way, for every dollar the welfare department spent on an HCD sample member, it was able to secure another $1.22 worth of services from non-welfare agencies, compared with just $.78 worth of services per LFA sample member.
The HCD net cost that is, the amount spent per HCD sample member beyond what would have been spent in the absence of a mandatory welfare-to-work program (as measured by the control group) averaged $3,077 per HCD sample member across the three sites. HCD net costs did not vary substantially by site.
Figure 6
Rates of Participation and Sanctioning by Site, and HCD or Control Group Status

NOTE: The Riverside sample includes only individuals without a high school diploma or GED certificate.
- The HCD programs in Grand Rapids and Riverside increased the number of individuals who obtained a high school diploma or GED certificate.
About 5 percent of the control group members in Grand Rapids and Riverside who did not have a high school diploma or GED certificate as of study entry earned one during the two-year
Table 3
Two-Year HCD Gross and Net Costs (in 1993 Dollars)
| | |||
| Site and Activity | Gross Cost per HCD Sample Member | Gross Cost per Control Group Member | Net Cost per HCD Sample Member |
|---|---|---|---|
| | |||
| Atlanta | |||
| Operating costs | $3,367 | $758 | $2,609 |
| Support services | 1,097 | 277 | 819 |
| Total | 4,463 | 1,035 | 3,428 |
| Grand Rapids | |||
| Operating costs | 5,594 | 3,090 | 2,504 |
| Support services | 576 | 207 | 369 |
| Total | 6,170 | 3,298 | 2,872 |
| Riverside | |||
| Operating costs | 3,302 | 595 | 2,707 |
| Support services | 238 | 15 | 224 |
| Total | 3,540 | 609 | 2,930 |
NOTES: Rounding may cause slight discrepancies in calculating the sums and differences. Riverside sample includes only individuals without a high school diploma or GED certificate.
follow-up period. In the HCD programs in these two sites, about 15 percent of the sample members received one of these degrees, usually the GED certificate, during this same time period. Thus, the two HCD programs increased the number of individuals who obtained these credentials by roughly 10 percentage points. No impacts on high school diploma or GED certificate receipt were found over the two years in Atlanta.
- The HCD programs in Atlanta and Grand Rapids led to small first-year increases in employment and earnings that grew in the second year of follow-up. In Riversides HCD program, which included only individuals who did not have a high school diploma or a GED certificate as of program entry, a moderate first-year employment impact and a small earnings impact decreased in the second year. In the other two sites, two-year HCD employment and earnings effects were smaller for those who, at program entry, did not have a high school diploma or GED certificate than for those who had such credentials.
As would be expected, since many HCD sample members were in school or training during the first year of the follow-up period (an "investment" period), HCD impacts on employment and earnings did not always appear quickly. A comparison of the controls average two-year earnings with those of HCD group members (see Figure 7) reveals that the HCD programs in Atlanta and Grand Rapids, which included individuals with and without high school diplomas or GED certificates, increased earnings by almost $600. In both of these sites, the earnings impacts were small and not statistically significant in the first year, but more than doubled in the second year (illustrated in the graph of quarterly impacts in Figure 7) and became statistically significant. Earnings impacts occurred primarily because the HCD programs helped some individuals find jobs who would not have found employment on their own, and secondarily because the HCD programs helped some individuals obtain longer-lasting jobs.
For individuals who entered the study with a high school diploma or GED certificate, the HCD approach increased employment and earnings in both years 1 and 2 of the follow-up period. Over the two-year period, earnings for individuals in this subgroup were increased by $960 in Atlanta and by $805 in Grand Rapids. For individuals who entered the study without these credentials, the HCD approach increased earnings in year 2 in Grand Rapids, but not in Atlanta or Riverside. (These results, not shown below in Figure 7, appear later in Figures 9 and 10.)
Figure 7
HCD Impacts on Earnings

NOTE: The Riverside sample includes only individuals without a high school diploma or GED certificate.
- The HCD programs in all three sites produced AFDC savings within the two-year follow-up period, a result that was not expected given the initial "investment" period of this approach and the small observed HCD impacts on employment and earnings. Welfare savings were found for individuals with and without a high school diploma or GED certificate as of program entry.
Relative to the total AFDC payments that the control group received within the two-year follow-up period (see Figure 8), the HCD programs reduced welfare expenditures by $333 to $1,134, depending on the site. These reductions represented savings of between 6 and 11 percent, relative to the welfare payments that control group members received. As the graph of quarterly impact patterns shows, the AFDC savings are likely to continue to accrue in future follow-up years. In Riverside, for example, the difference in the AFDC grant amounts going to the LFA and control group members each quarter leveled off starting in quarter 3, and the difference (that is, the quarterly impact) was still substantial ($147) and statistically significant in the last quarter, suggesting that AFDC savings are likely to persist into the third year of follow-up. While most of the AFDC savings resulting from the HCD programs were due to reductions in the number of months an individual received welfare, a substantial portion of the savings were accounted for by reduced AFDC payment amounts in months while individuals were still receiving AFDC, especially in Atlanta and Grand Rapids. It is likely that the high sanctioning rates in these two sites contributed to this particular result and, in general, to the welfare savings observed for the HCD programs.
Figure 8
HCD Impacts on AFDC Payments

NOTE: The Riverside sample includes only individuals without a high school diploma or GED certificate.
In Atlanta and Grand Rapids, the HCD programs reduced AFDC expenditures for those who had a high school diploma or GED certificate as of program entry. (The Riverside sample did not include this subgroup.) AFDC impacts for individuals with these education credentials grew larger from year 1 to year 2, and the trends suggest that the AFDC reductions are likely to continue into year 3. For individuals who lacked a high school diploma or GED certificate at program entry, the HCD programs also reduced AFDC expenditures, and the savings are likely to continue into year 3. In Atlanta, two-year AFDC impacts were larger for "graduates" than for "nongraduates," while in Grand Rapids the opposite was true; in neither site, however, were differences in the AFDC impacts for the two subgroups statistically significant.
VI. Comparisons Between the LFA and HCD Approaches and Comparisons with Previous Welfare-to-Work Programs
Comparisons of the LFA and HCD approaches in the National Evaluation of Welfare-to-Work Strategies rest on an unusually strong research design. By virtue of the randomization process, individuals subject to the two welfare-to-work program approaches within each site were similar in observed baseline characteristics and in unobserved characteristics, such as motivation. In addition, they lived in the same localities and consequently faced the same labor markets, AFDC regulations and practices, and work and welfare trade-offs. Finally, as described earlier, the program messages communicated to welfare recipients in the two types of programs, as well as the sequence and emphasis of program activities for sample members, differed in ways that were true to the theoretical LFA and HCD program models being tested. Differences in LFA and HCD sample members subsequent employment and welfare behavior must therefore be caused by differences in the welfare-to-work program approaches they experienced.
. Figures 9 through 11 compare, for each site, the LFA and HCD impacts on participation in employment-related activities, sanctioning, and cumulative earnings and AFDC payments within the two-year follow-up period. All LFA-HCD comparisons are presented separately for individuals who, at baseline, had a high school diploma or GED certificate and for those who lacked these education credentials. One reason for focusing on these two subgroups is that the HCD programs placed an emphasis on and increased participation in different types of program activities for individuals with and without these education credentials: For those without a high school diploma or GED certificate, the HCD programs most dramatically increased participation in basic education; for those possessing these credentials, the HCD programs (in Atlanta and Grand Rapids) increased participation in vocational training as well. (See the top panel of Figures 9 through 11.) Another reason for focusing on the education subgroups is that the HCD program in Riverside included only individuals who did not have a high school diploma or GED as of program entry. It is thus appropriate to compare the LFA and HCD impacts for the "graduate" subgroups in Atlanta and Grand Rapids and for the "nongraduate" subgroups in all three sites. Key findings from these comparisons are discussed in the following section.
- Two years is not enough time in which to fully assess the effectiveness of either the LFA or HCD approach.
Theoretically, it is only the results in later years of the follow-up period that are expected to show a "payback" from the HCD approach, because it will take some time for HCD sample members to put their newly acquired education and training skills to work in the job market.9 Similarly, longer follow-up is needed to determine whether the LFA impacts will increase, stay the same, or decrease over the long run. As a result, based on only two years of follow-up data, it is not possible to confirm or refute the theory that HCD programs result in higher-paying or longer-lasting jobs or that LFA programs effectively promote "working ones way up on the job."10
- As might theoretically be expected, total two-year employment and earnings impacts were smaller for the HCD approach than for the LFA approach. Impacts as of the end of the two-year follow-up period, however, do not clearly forecast a trend: HCD earnings impacts for most subgroups had not caught up with those of the LFA approach at this point, but HCD employment impacts for some subgroups had surpassed the LFA employment impacts.
In the first follow-up year, employment and earnings impacts were smaller for HCDs than for LFAs among both those who did and did not enter the study with a high school diploma or GED certificate. Over the entire two-year follow-up period, earnings impacts were about $500 to $1,000 lower for the HCD approach than for the LFA approach, a statistically significant difference for two of the five site/subgroup combinations (see the second panel of Figures 9 through 11). One exception to this pattern was that the two-year HCD earnings impacts and the two-year LFA earnings impacts were very similar for individuals in the "graduate" subgroup in Grand Rapids.
In only one of the five site/subgroup combinations the Grand Rapids "graduates" had the HCD quarterly earnings impacts caught up with (and, in fact, exceeded) the LFA quarterly earnings impacts by the end of the two-year follow-up period (not shown in the figures). For both education subgroups in Atlanta, and for the "nongraduate" subgroup in Grand Rapids, the HCD earnings impacts in the last quarter of the follow-up period were about half as large as the LFA earnings impacts. In Riverside, where LFA-HCD comparisons can be made only for "nongraduates," the LFA earnings impact in the last quarter was small, but the HCD earnings impact was below the LFA impact level. With only two years of follow-up, however, it is too soon to tell whether the HCD earnings impacts will eventually overtake and surpass the LFA impacts.
The quarterly employment impacts at the end of the two-year follow-up period underscore the need for longer follow-up, as these estimates show some evidence of HCD "catch-up." In particular, HCD employment impacts for those with a high school diploma or GED certificate in both Atlanta and Grand Rapids had caught up to, and in fact surpassed, LFA employment impacts by the end of the two-year follow-up period (not shown in the figures).
- While smaller than the AFDC payment impacts for the LFA approach in some sites or subgroups in year 1, the quarterly HCD impacts on AFDC payments had mostly caught up to the quarterly LFA welfare impacts by the end of year 2.
Over the entire two-year follow-up period, as shown in Figure 9, the LFA and HCD programs in Atlanta produced welfare payment impacts that were similar for individuals in the two education subgroups. In the other two sites, the HCD programs produced smaller welfare payment impacts than did the LFA programs (see Figures 10 and 11).



The quarterly pattern of LFA-HCD differences in AFDC payment impacts differed from the pattern for earnings impacts. AFDC impacts for LFA and HCD sample members in all five site/subgroup combinations were either fairly similar throughout the two-year follow-up period or became similar by the end of the follow-up (not shown in the figures).
- For those who entered the study without a high school diploma or GED certificate, both the LFA and HCD approaches achieved AFDC savings. While the LFA approach consistently produced earnings impacts across all sites for this subgroup, the HCD approach did not. As a result, individuals in this subgroup who were subject to the HCD approach experienced, on average, welfare reductions that were not offset by earnings gains.
Generally speaking, welfare recipients gain financially through their own work effort only if their earnings exceed the amount of money they lose in AFDC payments. Although earnings and AFDC payments are not the only ingredients of family income, the LFA and HCD impacts on these two income sources suggest that the degree to which earnings gains replaced reductions in AFDC payments differed substantially across the sites but did not differ consistently for the full samples according to program approach. For the two education subgroups, however, HCD earnings gains matched or exceeded AFDC reductions for individuals with a high school diploma or GED certificate, but HCD earnings gains were much smaller than AFDC reductions for individuals without these education credentials (see Figures 9, 10, and 11). In both the LFA and HCD programs, sanctioning, as well as an increased incidence of working while on welfare, may have contributed to the larger AFDC impacts (compared with earnings impacts) in some sites and subgroups.
The finding that HCD sample members who entered the study without a high school diploma or GED certificate experienced a net loss of income during the two-year follow-up period, at least as measured through the income sources of AFDC and earnings, was unexpected. At the outset of the National Evaluation of Welfare-to-Work Strategies, it was hoped that the HCD approach would increase the income of precisely those individuals who lacked educational credentials or had poor basic skills. It was considered likely that the initial effects on earnings might be small, while the group was out of the labor market completing their education activities, but AFDC reductions were not expected during this period, either. The finding of a cumulative income loss, however, should be qualified by the fact that there are only two years of follow-up presently available. If earnings impacts increase in the third, fourth, and fifth years of follow-up, income losses for this subgroup in the first two years of follow-up could be offset and, if the impacts were sustained, income gains could be eventually realized.
- Given that the FSA expanded the number of welfare recipients required to participate in welfare-to-work programs, aggregate impacts in the three studied sites for both the LFA and HCD programs are most likely larger than those of previous welfare-to-work programs.
| A Comparison with Riversides Late-1980s Welfare-to-Work Program How do Riversides LFA and HCD program impacts in the early 1990s compare with the positive impacts found by the GAIN Evaluation in the late 1980s? Impacts on AFDC payments were similar for the program operated under the GAIN Evaluation and for Riversides LFA and HCD programs, for both those with and without a high school diploma or GED certificate. Much greater differences were found for earnings impacts. For both of the education subgroups, the late-1980s Riverside program achieved two-year earnings impacts that exceeded those of the sites LFA program by about $950; for those without a high school diploma or GED certificate, the 1980s program impact on earnings greatly exceeded the small HCD program impact. There are several possible explanations for the earnings impact differences across Riversides programs, which will be explored in the future: Some Riverside activity assignment procedures changed as part of the LFA-HCD test described in this report, as noted in the earlier box on the Riverside program; the demographic characteristics of the Riverside samples in the GAIN Evaluation and in this evaluation were somewhat different; labor market conditions were worse during the later evaluation; participation rates were higher in Riversides program under the GAIN Evaluation than in the sites LFA and HCD programs; and costs measured under the GAIN Evaluation were higher than those measured for Riversides LFA program (but lower than those for the sites HCD program). |
One major goal of JOBS (as legislated in the FSA) was broader coverage of the AFDC caseload with a welfare "work" or participation obligation than was required prior to 1988. Theoretically, if JOBS programs even just maintained the level of per-person impacts achieved by prior programs, aggregate impacts would be larger than those achieved previously by virtue of the increase in the number of individuals "impacted." In reality, the LFA impacts for these three sites generally appear to be larger, on a per-person basis, than those measured for the low-cost, primarily job search-focused programs of the 1980s. HCD-oriented programs were uncommon in the 1980s, so appropriate comparison programs are not readily available.
A comparison of the longer-term costs of the LFA and HCD programs in the three sites with their longer-term benefits (that is, impacts), to be done at a future date, will determine whether the impacts of these programs will translate into government savings.
VII. Lessons and Implications for Current Welfare Reform Efforts
The reports findings can also be viewed as addressing issues that have heightened importance in light of the recently passed welfare reform bill.
- Both the LFA and HCD programs, in all three sites, decreased the proportion of individuals who remained continuously on the welfare rolls throughout the two-year follow-up period.
A prominent provision of TANF is a lifetime limit on the number of months a family can receive federal welfare benefits. Although sample members in the National Evaluation of Welfare-to-Work Strategies were not subject to welfare time limits, the two-year findings for the three well-run, "tough" programs analyzed in the report can provide some evidence as to whether special welfare-to-work programs exhibit the potential, within a two-year time frame, to reduce the number of individuals who would reach a time limit.
Depending on the site, the number of sample members who would have reached a two-year time limit on benefits within the available two-year follow-up period was reduced by 9 to 25 percent as a result of the LFA and HCD programs. Some of those who left welfare early in the two-year follow-up period, however, returned before two years had elapsed. Rates of recidivism among LFA and HCD sample members were generally similar to recidivism rates among control group members. (This recidivism finding is based on a nonexperimental comparison, however, since only employed sample members are included and employed LFA, HCD, and control group sample members may differ from each other in pre-random assignment background characteristics.) All in all, the three LFA programs reduced welfare receipt during the two-year follow-up period by 1.0 to 2.0 months, depending on the site; the three HCD programs resulted in reductions of 0.7 to 1.1 months on welfare.
- Women with preschool-age children a group not required to participate in welfare-to-work programs prior to the passage of JOBS were able to participate in program activities. Earnings and AFDC impacts were also found for this group.
TANF expands the number of welfare recipients who will be required to work in a subsidized or unsubsidized job or to participate in an employment-related activity while receiving welfare benefits. Welfare-to-work programs prior to JOBS required participation of single parents with children as young as age six; the JOBS legislation expanded the "mandatory" group of welfare recipients to include women with children as young as age three (or, at state option, as young as age one); TANF, as a result of doing away with most previously allowed exemptions (e.g., for women with children ages one or two, with drug or alcohol problems, or with physical disabilities) expands the "mandatory" population even further.
In the three sites LFA and HCD programs, which included women with preschool-age children, longitudinal participation rates that is, the chances that an individual would ever participate in a welfare-to-work program activity after having been identified as required to participate were similar to those in pre-JOBS programs, which included only women with school-age children. Depending on the site and program approach, between 44 and 74 percent of the LFA and HCD sample members participated in job search, education, training, or unpaid, temporary work experience, as part of a mandatory welfare-to-work program, for at least one day (but usually much longer) during the two-year follow-up period.
In both the LFA and HCD programs, earnings and AFDC impacts were found for individuals with preschool-age children as well as for those with older children. Across the sites, there was no clear tendency for impacts to be consistently larger among one or the other of these two groups of sample members.
- Child care costs represented a sizable share 5 to 25 percent, depending on the site of the per-sample-member cost of providing services while individuals were enrolled in the LFA or HCD programs during the two-year follow-up period.
Given the expanded groups of welfare recipients who are required to participate in employment-related activities under TANF, and TANFs increased participation-level targets, welfare program operators are concerned about the costs of providing child care. In the three evaluation sites, the cost of providing child care services (to children of all ages) while individuals were enrolled in the two types of welfare-to-work programs, averaged over all sample members in a site, ranged widely by site, from $73 to $709 per person over the two years. Considering only those who received child care assistance at some point during the two years, child care costs ranged from an average of $435 to $2,254 across the sites.
Several factors influenced the magnitude of average child care costs in each site: the proportion of sample members who used child care; the number of months a sample member participated in program activities and thus required child care; and the average cost of a month of child care, which was determined by the type of child care received and the number and age of children for whom care was provided. Each of these three measurement factors was highest in Atlanta and lowest in Riverside. On the last factor, Atlanta encouraged participants to use licensed home care or established day care centers, while Riverside urged participants to rely on less formal arrangements with friends or relatives, hoping to minimize county expenditures and to steer participants to low-cost care that they would be able to afford, on their own, after leaving welfare. Surprisingly, in Grand Rapids, where a very high percentage (44 percent) of the sample members had a child aged one or two, average per-person child care costs were lower than those in Atlanta but higher than those in Riverside. (In these latter two sites, less than 7 percent of the sample members had a child aged one or two.)
- Although the LFA and HCD programs were not operated under TANF rules or designed to meet TANF standards, it is likely that they would have failed to meet the ultimate participation rates specified in TANF, even though they achieved many TANF aims: They engaged large numbers of individuals in employment-related activities or imposed financial sanctions on them, generally increased the number of individuals who worked during the follow-up period, and decreased welfare expenditures.
TANF specifies that, eventually, at least one-half of all recipients of federal welfare benefits must be participating intensively in subsidized or unsubsidized work or in employment-related activities, where "intensively" means a time commitment of 20 to 30 hours in every week in any month they are receiving benefits. The JOBS legislation similarly specified participation standards, but the standards differed from those of TANF in that they applied only to those "mandatory" for JOBS, counted participation in a wider variety of activities, set gradually increasing goals that did not reach a level of 50 percent, and did not require as much as 30 hours per week of activity. Nonetheless, the ways in which the reports three studied sites imposed a welfare obligation on sample members, under the JOBS rules and goals, can highlight the challenges of TANFs participation standards.
The three sites differed in the extent to which they "covered" individuals with a welfare obligation during the months in which they were required to participate in a welfare-to-work program or face consequences. Depending on the site and program approach, sample members were participating in an employment-related activity (for at least one hour), employed, or sanctioned for nonparticipation in 41 to 68 percent of the follow-up months in which they were subject to a participation requirement. Site differences in this proportion reflected several factors, most of which will play roles under TANF as well: Many welfare recipients in Atlanta and Grand Rapids met a welfare obligation by virtue of being sanctioned; given Georgias relatively low AFDC grant level, few welfare recipients in Atlanta could meet the participation requirement by combining welfare and work, since many jobs made them ineligible for AFDC; and a substantial number of AFDC recipients in Riverside, consistent with Californias GAIN program procedures, were periodically excused on a temporary basis from the participation requirement.
The above statistics, however, do not take into account the number of hours each week in which individuals were participating or employed; they simply count individuals as fulfilling a welfare obligation if they were participating or employed at all, or sanctioned, at any point in a month. Previous analysis of these same three sites indicated that monthly participation rates, defined similarly to those contained in TANF, probably would have been quite low.11 Many welfare recipients in the three sites did not participate or work for 20 hours in every week of a month because, in at least one week in the month, they had been assigned to a program activity, but were waiting for it to begin; their assigned program activity required less than 20 hours of participation or was having a session break; they were sanctioned or slated to be sanctioned; they had child care or transportation issues; they were sick or had a family member who was sick or incapacitated; their case workers had temporarily "lost track" of them; or they were grappling with other personal issues or experiencing other, normal administrative delays.
- Sanctioning rates in the three sites, particularly in Atlanta and Grand Rapids, were very high relative to previously studied programs, and the sanctions lasted a long time, especially in Grand Rapids. Interestingly, these frequent and extended sanctions did not increase the chances that individuals would eventually participate in program activities, compared with the participation rates achieved in past programs.
Some current welfare reform policies specify "full family sanctions" that is, penalties for noncompliance with welfare program participation or work requirements that result in terminating a familys eligibility for welfare benefits. The programs in the three sites examined in this report operated under the JOBS sanction rules and, as such, sample members who did not comply with a welfare obligation could have their welfare benefits temporarily reduced, but not eliminated.12 The programs in the three evaluation sites, however, implemented sanctions frequently and for long periods of time more so than previously studied programs.
A comparison of sanctioning rates in the LFA and HCD programs shows that sanctions were not consistently more frequent in one approach or the other. Specifically, in Atlanta, about one-fifth of the LFA sample members and two-fifths of the HCD sample members had their AFDC grants actually reduced because they did not cooperate with the JOBS program at some point during the two-year follow-up period. In Grand Rapids and Riverside, the frequency of sanctions was similar for the two approaches, with sanctions implemented for approximately 40 percent of the Grand Rapids sample members and for less than 15 percent of the Riverside sample members (see Figures 9, 10, and 11). Between one-third and one-half of those sanctioned in Grand Rapids (depending on the program approach) were sanctioned for more than 12 months during the two-year follow-up period; up to one-fourth of those sanctioned in Atlanta and up to one-fifth of the sanctioned individuals in Riverside experienced sanctions of this duration. In contrast to these findings, sanction rates of 11 percent were the highest rates measured in studies of previous mandatory welfare-to-work programs, and sanctions in these prior programs lasted a maximum of three or six months. As mentioned earlier, longitudinal participation rates for the LFA and HCD programs examined in this report were similar to those for previously studied mandatory welfare-to-work programs.
The frequent and long-term use of sanctions in Grand Rapids and Atlanta appears to have contributed to the impacts on AFDC payments in these two sites by reducing the monthly grant amounts for which LFA and HCD sample members were eligible. Sanctioning also partly explains why AFDC savings were generally larger than earnings gains in these sites. Increases in combining employment and welfare receipt probably contributed to this result in Riverside as well.
VIII. Conclusion
The two-year findings presented above, on the labor force attachment and human capital development approaches to welfare-to-work programs, provide the most rigorous and credible comparison to date of these two approaches potential to promote work and decrease welfare reliance among welfare recipients. A time frame of two years, however, is not long enough to observe the full effects of these two approaches. Future documents¾ as part of the full, seven-site evaluation¾ will provide up to five years of follow-up on the LFA and HCD sample members, analyze the programs impacts on a wider array of outcomes, examine the extent to which these programs had "spillover" effects on sample members children, investigate links between increases in GED certificate attainment or gains in literacy and increases in employment or earnings, and compare the programs five-year costs with their five-year benefits. The findings from Atlanta, Grand Rapids, and Riverside will thus continue to inform welfare policymakers and program operators as they seek to implement reforms to move adult welfare recipients into work.
Notes
-
The specific provisions of JOBS (but not its overall aims) have been largely superseded by the federal Personal Responsibility and Work Opportunity Reconciliation Act, signed into law in August 1996. Among its provisions, this Act replaces AFDC with block grants to states, known as Temporary Assistance to Needy Families (TANF).
-
Child Trends, Inc., as a subcontractor, is working with MDRC on the child outcomes portion of the evaluation.
-
The other evaluation sites are Columbus, Ohio (Franklin County); Detroit, Michigan (Wayne County); Oklahoma City, Oklahoma (Oklahoma, Cleveland, and Pottawatomie counties); and Portland, Oregon (Multnomah and Washington counties).
-
In practice, many programs mix elements of both the LFA and HCD approaches. In contrast, Atlanta, Grand Rapids, and Riverside volunteered, for this study, to implement programs that were distinctly LFA- or HCD-oriented, in order to permit a clear test of the effects of each approach on subsequent employment and welfare receipt.
-
Among the four other evaluation sites, a three-group random assignment test was also implemented in Columbus, in this case comparing two different case management approaches. In Detroit, Portland, and Oklahoma City, two-group random assignment tests were implemented. In these sites, the evaluation is measuring the effects of the sites particular welfare-to-work program approaches under JOBS relative to what would have happened in the absence of a special welfare-to-work program. Later documents will discuss program implementation, participation, costs, and impacts in these four sites.
-
The samples analyzed in this report consist of single-parent AFDC recipients randomly assigned to a research group in the three sites from mid-1991 through the end of 1992. Random assignment continued for an additional 6 to 13 months in these sites. The report samples thus represent between 50 and 63 percent (depending on the site) of the three sites eventual single-parent samples.
-
Note that in the absence of such a program, many control group members do volunteer for employment-related services, especially education and training programs at adult schools and local community colleges. This evaluation thus measures the extent to which mandatory welfare-to-work programs operated by welfare departments can elicit participation in employment-related activities from individuals who normally would not participate in them. In addition, the evaluation examines whether the requirement to participate, increases in the incidence of participation, and the imposition of sanctions for not participating result in employment increases and less dependence on welfare.
-
The GAIN regulations specified that only individuals "determined to be in need of basic education" could be assigned to education activities. Individuals included in this group were those who did not have a high school diploma or GED certificate, had low scores on baseline reading or math literacy tests (regardless of whether they were high school graduates or had a GED certificate), and were not proficient in English. In this summary and the report, Riverside sample members meeting these criteria are placed in the "no high school diploma or GED" subgroup.
-
Recent five-year findings from the GAIN Evaluation in California underscore this point. In Tulare County, one of the studied counties that operated a human capital development-oriented welfare-to-work program, earnings impacts were small or negative in the first two years of follow-up, but positive (statistically significant) earnings impacts emerged in year 3 and persisted throughout the remainder of the five-year follow-up period. See Stephen Freedman, Daniel Friedlander, Winston Lin, and Amanda Schweder, GAIN: Five-Year Impacts on Employment, Earnings, and AFDC Receipt (New York: MDRC, 1996).
-
Further analysis of the nature of the program-provided education and training services, to be presented in a future report, will also help explain the eventual labor market "payback" results of the HCD programs.
-
Gayle Hamilton, Monthly Participation Rates in Three Sites and Factors Affecting Participation Levels in Welfare-to-Work Programs (Washington, D.C.: U.S. Department of Health and Human Services, Office of the Assistant Secretary for Planning and Evaluation, 1995).
-
For a three-person family in 1993, a sanction in Atlanta resulted in a $45 decrease in the monthly grant of $280; in Grand Rapids, the penalty was a reduction of $88 in a monthly grant of $474; and in Riverside, $120 was cut from a monthly grant of $624. JOBS program sanctions were to continue until the sanctioned individual agreed to participate in the assigned program activity, with a minimum sanction length of three months for the second "offense" and six months for the third. There was no minimum length for the first incident of noncompliance.