In recent years, policymakers and program administrators have increasingly focused on the role of noncustodial parents (NCPs) in the lives of low-income families. One example is Support Has A Rewarding Effect (SHARE), an initiative operated with Welfare-to-Work (WtW) grant support in three counties in the state of Washington. SHARE offered three options to NCPs whose minor, dependent children were receiving Temporary Assistance for Needy Families (TANF) and who were in arrears on their support obligations: (1) start paying support, (2) enroll in a WtW program, or (3) face possible incarceration. The main objective of this study was to examine the employment, earnings, and child support outcomes for targeted NCPs.
How Did SHARE Operate?
- SHARE involved collaboration among the welfare and workforce investment systems, child support enforcement agency, and employment and training providers.
SHARE targeted NCPs who had current orders of child support and were delinquent in their payments. The Division of Child Support (DCS) identified parents who had not paid child support during the past 60 days or longer, and who seemed eligible for WtW services because they had a child receiving TANF. These NCPs were referred to the Yakima County Prosecuting Attorney (YCPA) for initiation of contempt proceedings. YCPA set a hearing date and attempted to serve the NCP with a notice to appear in court. If he failed to appear, the NCP was considered in contempt of court, and a bench warrant was issued for his arrest.(1) If the NCP could not be located and served, the hearing date was cancelled.
When an NCP appeared in court, YCPA staff explained SHARE. The NCP had to meet the terms of his support order (or orders) by paying child support, or he would be held in contempt of court and possibly jailed. NCPs who were unemployed or who believed they might have difficulty meeting their child support obligations could participate in WtW services to avoid contempt proceedings and the possibility of jail. The NCPs who agreed to participate in WtW services were referred to one of the Tri-County Workforce Development Corporation's WtW service providers. There, the referred NCPs had access to the same employment services as other WtW-eligible clients.
SHARE enrolled NCPs and served them in this manner from July 1998 through September 2001.
- The SHARE approach emphasized close monitoring of child support compliance.
After NCPs were engaged in SHARE, YCPA staff continued to obtain progress reports from the WtW providers and to monitor their child support payments. YCPA staff held review hearings with the NCPs every 30 to 45 days, or less frequently if the NCP was making progress toward employment and even minimal child support payments.
- SHARE also strove to limit the burden of child support obligations on the NCPs, so these did not become a disincentive to work.
When an NCP became engaged in the initiative, YCPA staff worked with the parent to modify the existing child support orders to ensure that payment requirements were reasonable. In particular, DCS allowed for (1) establishment of payment agreements for less than the current amount for a temporary period, (2) reestablishment of payment agreements for default orders that originally were incorrect, and (3) the possibility of waiving arrears. Support orders could be modified further based on WtW provider reports and review hearings.
Did SHARE reach its intended targets?
- NCPs are a hard-to-reach population.
Finding and engaging their intended participants is a challenge that programs aiming to serve NCPs and other unattached males commonly encounter, and SHARE was not an exception. Of the 574 NCP cases that DCS identified as potentially eligible over the period of our study, less than half (280) ever appeared at a hearing at which SHARE was explained to them.
- NCPs took different paths through SHARE.
The path that NCPs took through SHARE depended on their eligibility, YCPA's success in serving citations, whether the NCP attended the hearing, and the NCPs' appropriateness for WtW services (Exhibit 1). Many NCPs never learned about SHARE because staff could not locate them, and some were incarcerated or had moved. Two-thirds (172) of those who appeared at a SHARE hearing were referred to a WtW provider for employment services. Most of the remaining one-third opted to find employment and/or resume paying child support on their own.

DCS = Division of Child Support;
NA = not available;
NCP = noncustodial parent;
WtW = Welfare-to-Work;
YCPA = Yakima County Prosecuting Attorney.
How successful was SHARE in reestablishing child support payments?
- Fewer than a quarter of NCP cases referred to SHARE were resolved with reestablishment of child support.
According to YCPA records, 449 (or 78 percent) of the 574 cases referred to them were closed and referred back to DCS when no further action by YCPA staff was deemed possible or warranted. In 111 of these 449 cases, the NCPs had resumed payments and were released from court supervision. In the remaining 338 cases closed, YCPA staff had been unable to reestablish child support. These overall statistics nevertheless mask important differences in the resolution of cases referred to SHARE according to the paths that NCPs followed through the initiative.
- The further the SHARE process went, the greater the likelihood of reestablishing child support.
NCPs who never appeared at a hearing almost always had their cases closed without having resumed child support payments. But when NCPs appeared for their hearings, YCPA staff achieved better results. NCPs who appeared for hearings were about equally likely to have their cases closed with child support being paid as with child support not being paid. The cases of NCPs who appeared at hearings seemed somewhat more likely to be closed with child support being paid if the NCP was referred for WtW services than otherwise. However, among SHARE-eligible cases not referred to WtW, YCPA staff also were able to achieve a positive child support result in most cases.
- Reestablishing child support payments required substantial effort.
YCPA staff remained involved for about two years in the cases of NCPs who appeared for hearings. (The cases of NCPs who did not come to hearings were resolved relatively quickly within an average of six months.) This degree of involvement is not surprising, since YCPA staff continued to conduct review hearings and monitor child support payments to ensure that the NCP was meeting his obligations. The prolonged involvement of YCPA staff may have been an important factor in their ability to achieve a successful outcome with many of these cases.
How did targeted NCPs fare after referral toSHARE?
- NCPs worked more, earned more, and paid more child support after referral to SHARE than before.
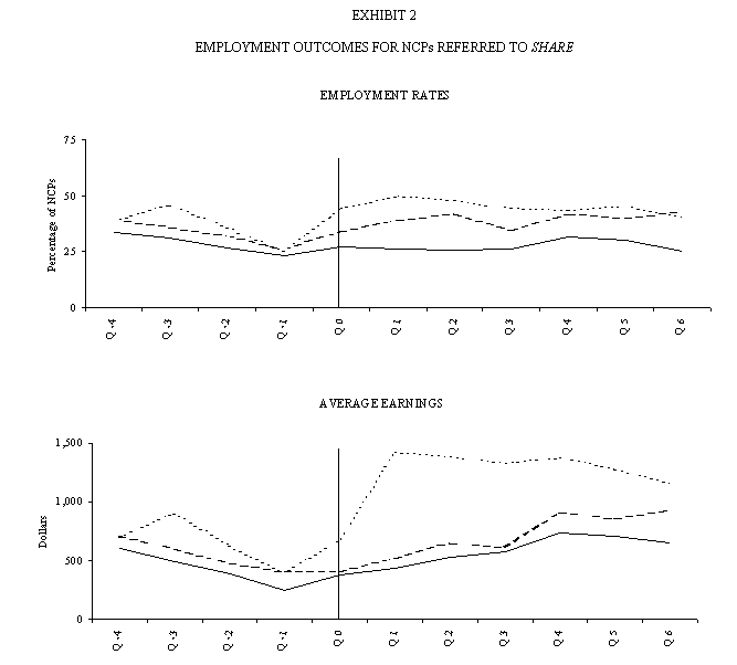
The employment rate amongall NCPs referred to SHARE increased from one-quarter just before referral to one-third in the quarter of referral, and remained above one-third for the following nine quarters. Average earnings increased 39 percent between the quarter immediately preceding referral and the quarter of referral, and continued to climb. The rate of child support payment nearly doubled just after referral, and consistently exceeded pre-referral highs.
- Outcomes improved for NCPs who took part in SHARE, but also for those who did not.
NCPs who appeared at a hearing and learned about SHARE had higher employment rates, average earnings, and child support payments than NCPs who never appeared at such a hearing (see Exhibits 2 and 3). Among NCPs who appeared at a SHARE hearing, those referred to WtW services and those not referred had comparable employment rates, but NCPs referred to WtW earned less. Similarly, NCPs referred to WtW and NCPs not referred to WtW were equally likely to pay child support following referral, but NCPs referred to WtW paid less.

| Legend: _______NCPs who did not appear at aSHARE hearing. __ __ __NCPs who appeared and were referred to Welfare-to-Work services. _ _ _ _ _NCPs who appeared and were not referred to Welfare-to-Work services. |
Source: Administrative data from state of Washington (as of March 2003).
Notes: NCPs = noncustodial parents; Q0 = quarter of referral toSHARE; average earnings include those NCPs who did have any reported employment in a given quarter.

| Legend: _______NCPs who did not appear at aSHARE hearing. __ __ __NCPs who appeared and were referred to Welfare-to-Work services. _ _ _ _ _NCPs who appeared and were not referred to Welfare-to-Work services. |
Source: Administrative data from state of Washington (as of March 2003).
Notes: NCPs = noncustodial parents; Q0 = quarter of referral toSHARE; average child support collections include those NCPs who did not pay child support in a given quarter.
What can we conclude from this study?
- SHARE probably contributed to the observed increases in employment, earnings, and child support payments.
Factors other than SHARE such as unobserved characteristics of the NCPs or natural ebbs and flows in their employment and ability to pay support probably played some role in the outcomes observed. However, differences in key outcomes for NCPs who took different paths through the initiative insignificant before referral to SHARE become more marked and significant after referral to the program. This suggests that all or some of SHARE's components service of a summons, the threat of incarceration, the possibility of renegotiating obligations and arrears, WtW services, and ongoing compliance monitoring may have played a role in the observed improvements for NCPs who did engage in the initiative.
- More rigorous evaluation could help clarify how programs like SHARE influence outcomes.
Without a random assignment evaluation, we cannot establish definitively whether SHARE is responsible for the observed improvements in outcomes, the extent to which it influenced these outcomes, or how it influenced them. The available evidence, however, suggests that the intervention is promising. A more rigorous evaluation of SHARE or of similar initiatives could shed light on the effects due to the program itself rather than other factors. An experimental evaluation could determine outcomes for NCPs and compare them to how they would have fared without the intervention that is, the program's "value-added." It would also be important to examine how various components of the intervention contribute to impacts, and their relative importance overall and for key NCP subgroups (for example, NCPs who had criminal records before referral and those with poor employment histories).
Endnote
1. We refer to a noncustodial parent as he or him because 88 percent of the referred cases were men.