U.S. Department of Health and Human Services
Recent Changes in Service Use Patterns of Disabled Medicare Beneficiaries
Kenneth G. Manton, Ph.D.Duke University
Korbin Liu, SC.D.Urban Institute
1990
PDF Version: http://aspe.hhs.gov/daltcp/reports/finales.pdf (39 PDF pages)
This report was prepared under grant #87ASPE185A between the U.S. Department of Health and Human Services (HHS), Office of Social Services Policy (now known as the Office of Disability, Aging and Long-Term Care Policy (DALTCP)) and Duke University. Additional funding Additional funding was provided by AARP contract #3-905-2600, and National Institute on Aging grants #AG07198 and #AG07469. This was published in the Health Care Financing Review, Vol.11, No.3, Spring 1990, pp.51-66. For additional information about the study, you may visit the DALTCP home page at http://aspe.hhs.gov/daltcp/home.shtml or contact the office at HHS/ASPE/DALTCP, Room 424E, H.H. Humphrey Building, 200 Independence Avenue, SW, Washington, DC 20201. The e-mail address is: webmaster.DALTCP@hhs.gov. The DALTCP Project Officer was Robert Clark.
This research was supported by the Department of Health and Human Services, Office of the Assistant Secretary for Planning and Evaluation, Health Care Financing Administration Quality of Care and Long-Term Care Cooperative Agreements Nos. 18-C-98641 and 17-C99009 and Grant No. AG07198 from the National Institute on Aging. Conclusions in the report are solely those of the authors, and do not necessarily reflect the view of the Urban Institute, Duke University, or the Department of Health and Human Services.
TABLE OF CONTENTS
- METHODS AND DATA
- The National Long-Term Care Surveys
- Analysis Plan
- Statistical Methodology
- RESULTS
- Analysis of Medicare Beneficiary Subgroups
- Population Subgroups
- Service Use Analysis
- DISCUSSION
- Hospital Utilization
- Post-Acute Care
- Vulnerable Subgroups of the Population
- LIST OF TABLES
- TABLE 1: Discharge Outcomes and Hospital Lengths of Stay of Subgroups of the Medicare Population, by Medicare Beneficiary Subgroup: United States, 1982 and 1984
- TABLE 2: Pure-Type Probability Values for the Disabled Community Elderly, by Subgroup Type: United States, 1982 and 1984
- TABLE 3: Distribution of Disabled Elderly in Different Service Settings Pre- and Post-PPS, by Subgroup Type: United States, 1982 and 1984
- TABLE 4: Medical Hospital Episodes Adjusted for End of Study, by Discharge Status: United States, 1982 and 1984
- TABLE 5: Medicare Skilled Nursing Facility Episodes Adjusted for End of Study, by Discharge Status: United States, 1982 and 1984
- TABLE 6: Medicare Home Health Agency Episodes Adjusted for End of Study, by Discharge Status: United States, 1982 and 1984
- TABLE 7: Other Episodes Adjusted for End of Study, by Discharge Status: United States, 1982 and 1984
- TABLE 8: Medicare Hospital Patterns of Subgroups of Disabled Beneficiaries, by Subgroup Type: United States, 1982 and 1984
This research was supported by the Department of Health and Human Services, Office of the Assistant Secretary for Planning and Evaluation, Health Care Financing Administration Quality of Care and Long-Term Care Cooperative Agreements Nos. 18-C-98641 and 17-C99009 and Grant No. AG07198 from the National Institute on Aging. Conclusions in the report are solely those of the authors, and do not necessarily reflect the view of the Urban Institute, Duke University, or the Department of Health and Human Services.
An analysis was made of the pre- and post-patterns of Medicare Part A service use using the samples of the 1982 and 1984 National Long-Term Care Surveys linked to the Medicare Part A bill files and mortality reports. The analysis was conducted both for the total elderly Medicare beneficiary population and for the community resident disabled population--a group felt to be particularly vulnerable to any adverse effect of the prospective payment systems induced change in service use. The expected changes in Medicare service patterns were identified, but there was no evidence of adverse changes in outcome--even for select vulnerable populations.
INTRODUCTION
Medicares prospective payment system (PPS) for hospital inpatient care was implemented in October 1983. Under this system, payment for care is made on a fixed price per case, based on the average cost for a patient in a given diagnosis-related group (DRG). This system of payment provides incentives for hospitals to use resources efficiently. It also contains incentives both to avoid patients who are more costly than the DRG average and to discharge patients as early as possible (Iezzoni, 1986). These latter incentives might also cause nursing homes and home health agencies with lower per diem costs to be employed as substitutes for hospital days. They may also increase the risk of readmission to the hospital of patients who are discharged inappropriately. In light of the potential effects of PPS on the utilization, costs, and quality of care for Medicare beneficiaries, assessments of the effects of the new reimbursement policy have been of interest to the Administration and congressional policymakers.
Because PPS has been introduced only recently, evaluations of the effects of the policy on Medicare beneficiaries have been limited.
In an analysis of 729 acute care hospitals for 1980-1984, DesHarnais and Kobrinski, and Chesney et al. (1987) found that total Medicare discharges and length of stay of Medicare hospital patients decreased in the post-PPS period. The analysis also found significant decreases in the proportions of hospital patients discharged home to self-care (3 percent) and increases in the proportion discharged home to home health care (2 percent). It has been suggested that shorter Medicare stays are being supplemented with increased use of home health agencies for post-discharge care. In-hospital mortality rates for Medicare patients declined slightly in 1984 although the decline was not statistically significant.
In analyses of the same data on 729 acute care hospitals, Long et al (1987) used more detailed measures of "productivity" (e.g., inputs per patient type) and found that this had increased due to PPS. They also found no adverse mortality effects and no large increases in the proportion of persons discharged to home health services.
In other studies of PPS effects on utilization and outcomes, Hall and Sangl (1987) and Neu and Harrison (1987) generally found reductions in hospital length of stay associated with PPS and increases in post-acute care use of home health agencies (HHAs) and skilled nursing facilities (SNFs). No significant changes in hospital readmission rates were found. Changes in mortality patterns were found, but these could be attributable to case-mix changes pre- and post-PPS (Conklin and Houchens, 1987).
Distinct from prior studies, which addressed the general Medicare population, our specific aim was to measure PPS effects on Medicare service use of disabled elderly Medicare beneficiaries. In the following sections, we describe data sources and methodology, present findings, and discuss the implications of our findings and review the limitations of this study.
METHODS AND DATA
The National Long-Term Care Surveys
The data sources for this study were the 1982 and 1984 National Long-Term Care Surveys (Health Care Financing Administration, 1982 and 1984) of disabled elderly Medicare beneficiaries and their Medicare Part A bills and Medicare records on mortality. The National Long-Term Care Surveys (NLTCSs) contain detailed information on the health and functional characteristics of nationally representative samples (about 6,000 each) of noninstitutionalized disabled Medicare beneficiaries in 1982 and in 1984. These characteristics included medical conditions and dependencies in activities of daily living (ADLs) and instrumental activities of daily living (IADLs). For these samples, Medicare Part A bills on hospital, skilled nursing facility (SNF), and home health agency (HHA) use were obtained from the Health Care Financing Administration (HCFA). In addition, mortality events from Medicare enrollment files were obtained. Hence, the research file contained detailed information on patient characteristics for two points in time, straddling the implementation of PPS, and complete Medicare Part A hospital, SNF, and home health utilization and mortality information. Because the exact dates of service were available from the Medicare Part A bills, it was possible to define periods of Medicare hospital, SNF, and HHA service use as well as periods when such services were not used.
The NLTCS allowed a broad characterization of cases, including multiple chronic complications or comorbidities and physical and cognitive impairments. Our use of Medicare Part A bills permitted tracking of persons in the NLTCS samples through different parts of the health care system (i.e., Medicare hospital, SNF, and HHA) so that we could examine transitions from acute care hospitals to Medicare SNF or HHA use. Finally, use of the Medicare enrollment files allowed us to measure mortality both when individuals were receiving Medicare Part A services and when they were not.
Analysis Plan
Our analysis plan involved comparing Medicare service utilization for 12-month periods before and after the implementation of PPS. The pre-PPS period was the 1-year window from October 1, 1982, through September 30, 1983. The post-PPS period was the 1-year window from October 1, 1984, through September 30, 1985. These timeframes were selected because detailed patient information based on NLTCS data were available only for the 2 years, 1982 and 1984. Hence, the availability of information on a multiplicity of patient characteristics to identify potential PPS effects on specific subgroups of the Medicare population required us to examine utilization patterns in fixed intervals before and after the implementation of PPS. This "pre" and "post" design has the limitation that changes in patterns of utilization could have begun before the observational window because of factors other than the introduction of PPS. These changes were of greater significance for the study of utilization patterns, where, for example, declines in hospital length of stay (LOS) were observed to begin prior to PPS than for quality of care analyses, where we are concerned with the immediate impact of PPS on outcomes.
Episodes of Service Use
The unit of observation in this study was an episode of service use rather than a Medicare beneficiary. We selected episodes rather than Medicare beneficiaries because beneficiaries could experience different numbers of episodes of one type of care (e.g., hospital) and different patterns of multiple types of service use (e.g., hospital, SNF, and HHA) during a 12-month period. By analyzing episodes, we were able to compare differences before and after PPS in all types of Medicare services. Hence, the length of stay of a third hospital admission for a given beneficiary, for example, would enter the calculation of average hospital length of stay. Because of the large number of combinations of service use experienced by Medicare beneficiaries in a 1-year period, it would be practical only to analyze a very limited number of different patterns if we used beneficiaries as the units of observation.
Episodes were defined as periods of service use according to dates coded on the Medicare Part A bills. The complementary intervals of time when these Medicare services were not used were also defined. These "other" episodes were the intervals when individuals in the sample were not receiving Medicare inpatient hospital, SNF, or HHA services. However, they might have been using non-Medicare nursing home services or other Medicare services such as outpatient care, although, at the time of the selection of the 1982 and 1984 samples, persons in any type of nursing home were identified as a special subsample. Because of the potential heterogeneity of situations represented by the other episodes, pre- and post-PPS changes in this type of episode must be interpreted with caution.
An episode was based on recorded dates of service use from the Medicare records. Discharge disposition of any type of service episode was based on the individual's status immediately following the specific episode. For example, a Medicare hospital episode terminating in discharge to Medicare SNF care would imply that the SNF episode followed within a day of the hospital discharge. Hence, a post-hospital SNF stay, if it started several days after a hospital discharge, would not be recorded as the disposition of the hospital episode. This definition of coterminous services has the potential effect of reducing the rates of post-hospital utilization of SNF or HHA services. However, this definition was applied uniformly for both pre- and post-PPS periods, and we are not aware of any systematic differences in the onset of post-acute services between the two time periods.
Samples of the Medicare utilization information for the community disabled individuals from the 1982 and 1984 NLTCSs were drawn for analysis. Episodes of hospital, SNF, HHA and all other episodes were drawn proportionally to the number of each type available. For example, because of the relatively small number of Medicare SNF episodes, all SNF episodes were selected. On the other hand, a random sample of the much more frequent hospital episodes was selected.
Analyses were conducted to measure changes in the length of stay and discharge status of each type of Medicare Part A service. Hospital, SNF, and HHA service events were analyzed as independent episodes. For example, all of the hospital episodes in our sample, whether they were the first, second, or third hospitalization during the observation window, were included as an individual unit of observation. No inference was made about the relationship of one hospital episode to another. By focusing on each episode of service use as a unit of observation, we were able, in our analysis, to include all episodes without benchmarking for a specific event, such as the first admission during the pre- and post-PPS observation windows. Hence, the results of this analysis are representative of differences in pre- and post-PPS patterns of Medicare service use, in terms of service types and each episode of any given service type experienced by Medicare beneficiaries.
Population Subgroups as Case Mix
In both the service use and the outcome analyses, we conducted analyses in which we stratified the NLTCS samples into relatively homogeneous subgroups of the disabled population.
We refer to these subgroups as case-mix groups, because they represent different types of patients who would likely experience different Medicare service use patterns and outcomes. Our case-mix groups are based on chronic health and functional characteristics, as reported in the surveys, and are independent of their health status at admission to any specific Medicare service. In this way, these groups are distinct from DRGs, for example, that differentiate the acute care requirements of persons being admitted to hospitals.
Case-mix categorizations were derived through grade of membership (GOM) analysis of the pooled 1982 and 1984 samples (Woodbury and Manton, 1982; Manton, et al., 1987). Pooling patients from the two periods to define the GOM groups enabled us to make case-mix-specific comparisons across the two periods. For the GOM analysis, maximum likelihood procedures were used to identify the number of case-mix profiles necessary to explain the wide range of health and functional status characteristics available from the 1982 and 1984 NLTCSs. Fifty-six medical conditions, ADLs, IADLs, and IADL2s1 were used in this analysis. The GOM profiles represent subgroups of the total samples that were homogeneous in terms of these characteristics. Because the 1982 and 1984 samples were pooled for the GOM analysis, the case-mix groups derived were representative of episodes in both the pre- and post-PPS periods. The GOM methodology is discussed in the section Statistical methodology.
With the population subgroups, we could determine whether changes in utilization between pre- and post-PPS periods remained after multivariate case-mix adjustments were made to account for individual differences in chronic health and functional problems. Hence, although hospital LOS had been observed to decrease under PPS, questions still remained about whether the observed declines were the result of hospital behavior or of case-mix changes. The case-mix controls allow us to examine this question. The GOM groups represent subsets of the total disabled elderly population that may be particularly vulnerable to adverse PPS effects because of functional and health impairments. We examined the changes in service use and mortality among vulnerable subgroups to determine which segments of the total population were most affected by PPS.
Statistical Methodology
We employed two methodological strategies in this study. First, GOM analysis was used to derive subgroups of the population according to patient characteristics and to measure case-mix changes between the pre- and post-PPS periods. Second, life table methodologies were employed to measure utilization changes between the two periods, both for the total population and for the case-mix subgroups. Various life table functions, using transition probabilities estimated in the GOM analysis, were used to describe risks of events and durations of expected time between events (e.g., hospital length of stay). Statistical comparisons were made, therefore, between life table patterns of events rather than for the average duration of different types of episodes. This methodology provides a more complete comparison of the patterns of changes between the pre- and post-PPS periods and allows us to adjust our estimates of the duration of service use for different types of censoring. In our presentation of results, we indicate statistical significance at 0.05 and 0.10 levels.
Grade of Membership Analysis
GOM analysis is a multivariate technique in which two types of analyses usually performed separately (Woodbury and Manton, 1982). The first analysis generates a description of the relation of each case-mix dimension to each of the variables in the analysis. Using the GOM procedure, a prespecified number (say K) of dimensions can be identified from the available information. This type of analysis is often done with factor or principle components analysis. The second analysis involves assigning a grade or weight for each person to describe how much each person is represented by the characteristics associated with a given case-mix dimension. This type of analysis is often done by some type of clustering procedure. In the GOM analysis, the way in which cases are grouped is more general than in most clustering procedures in that, instead of being forced to be exactly a member of only one group, a person can be represented by more than one case-mix dimension and have different degrees or grades of membership for each. The fact that both types of analysis can be performed simultaneously using the GOM procedure provides statistically superior results to analytic procedures that perform each type of analysis independently.
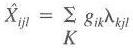
The GOM analysis can be described by a single equation. This equation says that the probability that a person i, has the lth response to the jth variable (written ) is a product of two coefficients. The first is the set of probabilities (written
) describing which attributes describe the Kth type. The second are weights (gik) that sum to 1.0 which indicate how closely a person's attributes (i.e., the set of Xijl) are to the K analytically defined profiles. Symbolically this is
.
In effect, the GOM model involves simultaneously analyzing the relationships of both variables and cases to a set of analytically defined profiles of individual functional and health characteristics. Measurements on each individual are predicted as the product of the two types of coefficients--one describing how closely an individual's characteristics approximate those described by each of the analytic profiles or subgroups (i.e., the gik) and another describing the characteristics of the profiles (the ).
The two types of GOM coefficients can be associated with the two types of analyses described previously. First, multivariate profiles or "pure types" are defined by the probability that a person in a given group or pure type has each of the set of characteristics or attributes. These can include, for example, presence or absence of specific medical conditions and impairments in activities of daily living. Second, for each profile defined in the analysis, weights are derived for each person, ranging from 0 to 1.0 (and summing to 1.0), reflecting the extent to which a given individual resembles each of the profiles.
Life Table Analysis
In conjunction with the grade of membership analysis used to develop the case-mix groups, we used cause elimination life table methodologies to analyze the duration data in service episodes. Life table methodologies were used for several reasons. First, an important dimension of the comparisons of Medicare service use between 1982-83 and 1984-85 was the duration of specific services (e.g., hospital length of stay). Life table methodology permits the derivation of duration-specific schedules of the occurrence of events, such as the probability of a discharge to a SNF after a specific number of days of hospital stay. Such duration-based analyses represent one important measure of the volume of service use. Other measures are necessary to more precisely assess the intensity of services provided. Unfortunately, it is not possible to define many of those service measures for the pre-PPS period. In the post-PPS period, Medicare data systems for both hospital and HHA stays were expanded.
Second, there were competing risks that censored the occurrence of specific events of interest (e.g., end of study censored hospital readmissions). Cause elimination life table methodologies permit adjustments of the probability of being readmitted, say, to a hospital by accounting for the competing risks of end of study before readmission. Because we cannot observe a readmission after the study ends, our results could be biased and misleading if we did not account for this censoring. This is accomplished by using the periods of exposure of incomplete episodes (e.g., a nursing home stay that ends after the study) in the calculation of risks of specific outcomes.
Finally, the life table contains functional relationships that provide rich descriptions of the patterns. For example, although a schedule of conditional probabilities of hospital readmissions can be produced, these probabilities do not tell us how much time passed before the readmission. The life table provides estimates of the amount of time expected before readmission in addition to the probability of readmission. For analyses where utilization patterns were examined for specific case-mix groups, specialized cause elimination life table methodologies were used to derive life table functions for each of the case-mix subgroups.
To estimate the transition probabilities used to calculate the life tables, the maximum likelihood procedures of the GOM procedure were used. Specifically, "external" transition variables were defined for the different types of episodes. These variables were defined by expanding the number of response levels, l, to include both time (i.e., the lt number of time intervals) and the multiple ways in which the episode could end (i.e., le where e represents events like death, end of study, or movement to another type of service). Thus for the variable representing a transition, there would be It x le possible events, of which a person could only experience one. The probabilities are calculated holding the gik's fixed so that they do not affect the definition of the groups. The
are identical to the dx.A probabilities (i.e., the probability of death from cause A at age x) used to calculate multiple decrement tables and, thus, may be similarly used to generate life tables. These tables describe the service use patterns of a person with a weight of 1.0 (i.e., 100 percent) on the Kth group and a weight of 0.0 on all other groups. These "pure-type" life tables can be adjusted for "competing risk" effects using the standard life table procedures discussed earlier. These procedures have been successfully used in the analysis of multivariate event history processes for similar types of data (e.g., Manton et al., 1987).
The life tables for the total population can be derived by employing the case-mix weights (i.e., the gik) actually calculated for each person. Hence, a person who is 0.5 like the first profile and 0.5 like the second profile would have service use life tables that, likewise, are weighted combinations of the life tables for the first and second profiles. Because the case-mix weights must add to one, adding the weighted life tables must reproduce the life table for the total population (i.e., the population before stratifying by the case-mix weights). This provides a procedure for testing whether the case-mix stratifications (or any other stratification, such as the service use differences between 1982-83 and 1984-85 intervals) are significant. By significant we mean whether or not the life tables estimated for each case-mix group differ from those for the total population by more than chance. The statistic generated by the procedure is a X2 goodness-of-fit" statistic that tests if two or more distributions are statistically significantly different. The computational details of the tests are presented in Manton et al., 1987.
RESULTS
Analysis of Medicare Beneficiary Subgroups
Although the focus of this study is on chronically disabled persons in the total elderly population, it is important to view the service use and mortality of this subgroup in the context of all major components of the total Medicare population. This can be done by examining the patterns of service use in the three major subgroups of the population as defined by the sample design of the 1982 and 1984 NLTCSs. The three sample groups defined at the time of the screening were the community disabled elderly (i.e., those who received the detailed questionnaire and who will be analyzed in detail in subsequent sections), the community nondisabled elderly, and those persons who were in long-term care institutions at the time the sample was defined. Comparative hospital utilization statistics of the three subgroups of Medicare beneficiaries are shown in Table 1.
As shown in Table 1, nondisabled, noninstitutionalized persons had shorter hospital stays than either the community disabled or the institutionalized. The higher LOS of the latter groups is probably related to their functional disabilities. Data in Table 1 also show that the hospital length of stay for the community nondisabled group declined from 10.1 to 8.8 days--in line with the decline noted in the general Medicare population (Neu and Harrison, 1987). Although this group is relatively healthier in terms of chronic functional and health problems, they will still experience, at a lower rate, serious and acute medical problems. Changes in LOS of the nondisabled may be compared with the decline in hospital LOS for persons in institutions (from 12.0 to 10.0 days) and for the community disabled elderly (from 11.6 to 10.4 days). Thus, all groups experienced notable declines in hospital LOS, with the institutionalized having the largest decline (i.e., 2.0 days). Conversely, the disabled elderly residing in the community had the lowest absolute and proportional decline in hospital length of stay before and after PPS.
In examining the length of time and percent of cases that terminate in a particular way, we see that the nondisabled community elderly and the institutionalized elderly have slight increases in hospital episodes ending in death, with the community disabled experiencing virtually no change. Note that these changes have not been adjusted for the increased severity of hospital case mix that Conklin and Houchens found eliminated much of the pre- post-mortality difference. We found that, for community dwellers (both disabled and nondisabled), there were compensating decreases in mortality in Medicare SNF and HHA service episodes, suggesting that more serious cases were being transferred to hospitals more efficiently.
In all three populations, increases occurred in the use of HHA services after hospital discharge, with declines in the time spent in hospitals prior to HHA admission (Table 1). Medicare SNF use increased for the nondisabled community elderly, but decreased for both community disabled and institutionalized elderly.
Population Subgroups
The grade of membership analysis of data from the 1982 and 1984 NLTCSs identified four subgroups. In our analyses, these were used to determine if overall changes in Medicare service utilization between the pre- and post-PPS periods were found for major subgroups of the disabled Medicare population and if specific vulnerable subgroups were particularly affected by PPS. The s that define these groups are presented in Table 2. This table should be read by columns; the set of probabilities in each column provides a substantive description of each of the pure types. Whether a pure type is particularly characterized by a given attribute can be determined by comparing it with the probability of occurrence of the attribute in the total sample (i.e., the sample proportion).
The GOM subgroups are based on a richer set of health and functional status measures which are temporally more persistent than the information used to define the DRGs employed in the PPS. These groups represent distinct subsets of medical and functional characteristics of Medicare beneficiaries, reflecting the multiple comorbidities of elderly persons that may be expected to be associated with service use patterns and possible negative outcomes of care such as hospital readmission and mortality. The following highlights the most significant characteristics of the four groups found in Table 2.
-
Type 1 persons are referred to as Mildly disabled. They have only a minimum of long-term health and functional status problems, with the most prevalent conditions being rheumatism and arthritis. Relative to the entire population of disabled Medicare beneficiaries, Type 1 individuals are young, with only 10 percent being 85 years of age or over. Sixty-seven percent indicate that their general health is good or excellent. Only 3 percent had a prior nursing home stay, and only 10 percent spent private dollars for home care.
-
Type 2 persons are referred to as the Oldest-old." They have many ADL and IALD problems, with 72 percent being dependent in bed-to-chair transfers. This type is also prone to hip and other fractures; the relative risk of hip fracture for persons in this group is three times greater than that for the average disabled person. Glaucoma and cancer are also prevalent among persons in this group. Demographically, 50 percent are 85 years of age or over; 70 percent are not married; and 70 percent are female. This group also has the highest rate of prior nursing home use (22 percent) compared with the sample average (10 percent).
-
Type 3 represents persons with "Heart and lung problems." They have mild ADL dependencies, such as bathing, and IADL dependencies. Arthritis, which is prevalent in this group, is associated with a high risk of permanent stiffness. Most characteristic of this group are high risks of cardiovascular (e.g., 80 percent arteriosclerosis) and lung diseases (e.g., 44 percent bronchitis), which are associated with high likelihood of diabetes (45 percent) and obesity (50 percent). The group is not particularly old, with 95 percent being under 85 years of age, and is predominantly female.
-
Type 4 persons are referred to as "Severely ADL dependent." They have a 60-percent chance of being dependent in eating and 100-percent chance of being dependent in all other ADLs. A high risk of being bedfast (11 percent) or chairfast (32 percent) is characteristic of this group. Individuals in this group have a 70-percent chance of being incontinent. The high level of disability is associated with neurological diseases, including Parkinson's disease, multiple sclerosis, and epilepsy. Senility and behavioral problems are present. Demographically, 48 percent are male, 58 percent are married, and 25 percent are 85 years of age or over. A large proportion (19 percent) of this group had prior nursing home stays.
The four case-mix groups represent coherent collections of disability and medical conditions that are suggestive of service use differences and outcomes. Type 1 individuals would appear to be the least vulnerable to inappropriate outcomes of hospital admissions because of their overall good health. Type 2, the Oldest-old, with hip fractures, for example, would be expected to require post-acute care for rehabilitation. Type 3, because of their acute heart and lung problems, might be expected to experience multiple hospital admissions within a 1-year period and higher than average mortality risks. Type 4, the severely disabled individuals with neurological conditions, would be expected to be users of post-acute care services and long-term care and to be at high risk of mortality. Thus, the GOM defined groups are distinctly different subgroups of the disabled elderly population, ranging from persons with mild disability to severely disabled individuals. In the following sections on Medicare service use, these GOM groups are used to adjust overall utilization differences between pre- and post-PPS periods. We also discuss significant changes in utilization for each of these GOM subgroup types.
In addition, we used the second output of GOM analysis--the degree to which individual cases resemble each of the GOM profiles--to determine if a shift occurred in the case mix of episodes of Medicare hospital, SNF, and HHA care between the pre- and post-PPS periods. By summing the individual case weights per GOM profile per case, it was possible for us to determine whether there was a shift in the degree to which cases resembled each of the GOM subgroups (i.e., shifts in the distribution of GOM scores between 1982 and 1984).
As shown in Table 3, a shift occurred in the proportion of cases by service episode of each of the four types between 1982 and 1984.
The shifts are generally in the expected direction. For example, for hospital episodes, there was a large decline in the "Severely ADL dependent" (i.e., from 20.3 percent to 16.9 percent). Increases in the "Oldest-old" and "Heart and lung" group suggest an increase in the medical acuity of hospitalized persons in 1984, with a significant reduction in the prevalence of seriously impaired persons. In the SNF group, we also see declines in the severely ADL-impaired population and increases in the "Mildly disabled" and "Oldest-old" populations--again suggesting increased acuity. HHA episodes show the Oldest-old and severely ADL-dependent types increasing in prevalence and the less disabled group decreasing. Thus, the HHA population has, in contrast to the SNF population, become more chronically disabled and older. This HHA pattern reflects similar changes in the community population, which becomes older and has more severely disabled persons. Thus, the whole distribution by case-mix type has been altered by the changing of service venues because of the impact of PPS.
The changes in case mix, according to our analysis, are generally consistent with results from a study by the University of Colorado (Shaughnessy et al., 1987). During that study, data were collected on changes in case mix of persons at the time that they were patients of Medicare SNFs and HHAs, in contrast to our analysis, in which changes in service use of subgroups of the disabled population as defined by the chronic condition in the community were examined. Nevertheless, Shaughnessy, Kramer and Schlenker (1987) found significant increases in dyspnea, congestive heart failure, and hypertension among Medicare SNF patients and increases in ADL dependencies among Medicare HHA patients. These results are consistent with our findings of increased heart and lung problems among SNF patients and increased chronic disabilities among the HHA patients.
Service Use Analysis
In this section, we discuss the service use patterns of hospital, skilled nursing facility, and home health agency care experienced by the chronically disabled community sample between 1982-83 and 1984-85. This analysis was designed to provide a description of changes between the two time periods in terms of rates for different modes of ending specific types of service episodes and of how these episode termination patterns were related to episode duration. For example, we determined if changes in hospital length of stay after the implementation of PPS were related to changes in the proportion of hospital discharges followed by use of SNF and HHA care.
Hospital Use
Patterns of Medicare hospital events for the two time periods, after adjusting for the censoring of events by the end of study, are show in Table 4.
There was an overall decline in LOS, from 11.6 days in the pre-PPS period to 10.2 days in the post-PPS period, after adjustments were made for end of study. Data in Table 4 also show a decline in the proportion of hospital admissions that resulted in discharges to Medicare SNFs (5.2 percent versus 4.7 percent), although discharges to HHA care increased from 12.6 percent to 15.6 percent. There was no change in the rate for discharges because of death (9.1 percent in both the pre- and post-PPS periods), although patients who died in the hospital had shorter stays in the post-PPS period. The length of hospital stays declined between the pre- and post-PPS periods for all discharge episodes except those for other episodes. Because the percent of hospital discharges to SNFs declined, there was no apparent substitution of hospital and SNF days, although some possibility existed for HHA care serving as a substitute for hospital days. Because increases in post-acute care might be viewed as intended effects of PPS, it is surprising that SNF use declined. Later we will examine the changes in such use relative to hospital readmission and mortality.
Also presented in Table 4 are the results of statistical analyses when adjustments are made for differences in case mix between 1982 and 1984. This refinement of the comparison of observed differences in patterns (both rates of utilization and duration of LOS) indicated that statistically significant differences (at the 0.05 level) were found for the hospital stays that ended with admission to HHAs. It is apparent that both rates of hospital discharge to HHAs and of hospital LOS prior to discharge were different between the two time periods. Although HHA admissions from hospitals increased, the LOS in hospitals prior to HHA admissions decreased between pre- and post-PPS periods. There also appears to be a change in the hospital stays that resulted in admissions to SNFs, although this difference was significant only at a 0.10 level. The fact that overall hospital LOS was not significantly different between 1982 and 1984 after adjusting for case mix suggests that minimal changes in LOS resulted from the implementation of PPS for the disabled elderly residents in the community who are the subject of this analysis.
Skilled Nursing Facility Use
Discharge patterns of individuals who experienced Medicare SNF use pre- and post-PPS and the length of stay in Medicare SNFs are presented in Table 5.
There was a decline in average LOS for all SNF episodes from 69.9 days to 37.7 days. Results of declining covered days of SNF care are consistent with statistics from the Health Care Financing Administration (Hall and Sangl, 1987). By termination status of SNF episodes, there was a reduction in discharge from SNFs to hospitals from 30.6 percent in the pre-PPS period to 18.0 percent in the post-PPS period. This suggests a reduction in hospital readmission from SNFs, because most SNF stays are preceded by hospital stays. Table 5 also contains the results of statistical tests on the SNF patterns of LOS and discharge destination when adjustments were made for case mix. These results indicate that the observed differences of changes in SNF utilization were not statistically significant after case-mix adjustments. In fact, only those SNF cases that resulted in discharges with no further Medicare services were marginally significant between the two time periods (p = 0.10).
Home Health Agency Use
Patterns of discharge for home health agency (HHA) episodes are presented in Table 6.
There was a decline in average LOS for all HHA episodes from 77.4 days to 52.5 days. However, after adjustments were made for case mix, this change was not statistically significant.
Other Episodes
Patterns of durations when Medicare Part A services were not used during the pre- and post-PPS periods are given in Table 7.
There was an overall increase in the average duration of these episodes, from 231 days to 237 days. This result implies that intervals before and after use of Medicare hospital, SNF, and HHA services increased slightly between the two periods. There was also a reduction in the likelihood that these periods ended with an admission to hospitals (80.9 percent to 70.7 percent), suggesting lower hospital admission rates after PPS, a result consistent with other studies (Conklin and Houchens, 1987). Rates of other episodes resulting in admission to HHAs increased from 13.6 percent to 21.5 percent--a result consistent with recent findings from a University of Colorado study. In that study, Shaughnessy, Kramer, and Schlenker (1987) found that the proportion of Medicare HHA patients admitted from home increased from 23.6 percent in 1982 to 38.5 percent in 1986. This increase in HHA use was significant even after adjustments were made for the chronic health and functional status differences between the four GOM-defined subpopulations.
Subgroup Patterns of Hospital Use
In addition to employing the GOM subgroups to adjust for utilization changes before and after PPS, we examined differences in the effects of PPS on the specific subgroups among the disabled elderly population. As discussed earlier, the GOM groups reflect heterogeneity in the total population in terms of both medical and functional status. Table 8 contains hospital utilization rates for the four GOM subgroups.
Statistically significant differences (p = 0.05) between 1982 and 1984 were detected in the hospital length of stay for the Mildly disabled group. A significant change (p = 0.05) was found in the subset of hospital stays that resulted in an admission for Medicare SNF care. The association between increases in SNF admissions and decreases in hospital LOS suggests the possibility of service substitution among the Mildly disabled. Although not shown in Table 8, SNF episodes for the Mildly disabled had an increase in the proportion that were discharged to the other settings. The two results suggest that, in the Mild disability group, there was a detectable change in utilization characterized by higher hospital discharges to SNFs and higher SNF discharges to other episodes, with corresponding decreases in hospital and SNF lengths of stay.
There were no statistically significant differences before and after PPS in the patterns of hospital use for the other three subgroups.
Subgroup Patterns for Other Episodes
Although not shown, the four subgroups experienced some changes in other types of episodes. Significant differences were detected for the Oldest-old group in terms of lower rates of being admitted from the community directly to HHA services and higher rates of dying in other types of episodes. It should be recalled that other refers to all periods when Medicare Part A services were not received. The higher mortality of this subgroup may be the result of higher proportions of these individuals dying while receiving non-Medicare nursing home care or other types of services. For example, given that the Oldest-old case-mix group was characterized by a high risk of cancer, some might have received community-based hospice care. Even though our data sources did not allow us to investigate this result for the Oldest-old, our findings suggest the need for further research.
For the heart and lung subgroup, the only statistically significant (p = 0.10) difference after PPS was found for HHA episodes that decreased in the rate of discharge to hospitals and decreased in LOS. Although differences in mortality were not statistically significant, they suggest an increase in hospital and SNF mortality and corresponding mortality decreases in HHA and other settings.
Marginally significant differences (p = 0.10) were detected for SNF episodes for the Severely disabled group, which decreased in LOS. In addition, we found a slightly higher rate of SNF episodes resulting in discharges to hospitals (23.4 percent versus 25.4 percent), suggesting the possibility of increased hospital readmission for this group. Home health episodes were significantly different, with overall LOS decreasing from 108 days to 63 days. Though the proportion of HHA episodes resulting in hospital admission was lower, the proportion of HHA episodes discharged to the other settings increased. Finally, there was a marginally significant (p = 0.10) decrease in community episodes resulting in deaths.
DISCUSSION
In this article we presented results from a study to examine the patterns of Medicare hospital, skilled nursing facility, and home health agency service use before and after the implementation of the hospital prospective payment system. Unlike other studies assessing PPS effects, our study population focused on disabled, noninstitutionalized Medicare beneficiaries, and vulnerable subgroups among them.
Our study identified several important chances in the utilization of Medicare Part A services. For example, we found reductions in hospital length of stay after PPS and increased use of HHA services. These results are consistent with findings by other researchers (e.g., DesHarnais, et al., 1987) and understandable, in part, in the context of changes in the health care service environment surrounding the implementation of Medicare's new payment system for hospitals.
Hospital Utilization
We found that there were declines in length of hospital stays for the disabled elderly population and that these were concentrated in certain subgroups. For example, even though LOS declined for persons with mild disabilities, LOS remained the same for those with medically acute conditions. This result suggests that, for some Medicare cases, reductions in length of stay could not be achieved in spite of the financial incentives offered by PPS.
Our analysis also suggested a reduction in admissions to hospitals after the implementation of PPS. Although consistent with findings of other researchers (DesHarnais et al., 1987), this result appears to be counterintuitive, in light of the incentives of PPS for higher admission rates and shorter lengths of stay (Stern and Epstein, 1985). A number of reasons for the decline in admission rates have been proposed, including the effects of awareness of unprofitable admissions, the increased use of second opinions and pre-authorization programs, changes in medical technology, and the movement of location of services from inpatient to outpatient settings (DesHarnais et al., 1987). Increases in the role of hospital outpatient care, for example, are illustrated by the fact that the percent of surgical charges under Medicare Part B incurred in hospital outpatient settings has increased dramatically. One expected result of reductions in hospital admissions, as a result of the channeling effects would be a more severe case mix of hospital admissions. We were unable to definitively identify a change in case mix between the pre- and post-PPS periods, even though our results on shifts in proportion of patients across the subgroups and the increased hospital risks of mortality within 30 days after admission are consistent with this result.
Post-Acute Care
Post-hospital use of Medicare skilled nursing facilities did not increase, as might be expected in light of PPS incentives to substitute post-acute nursing home days for hospital days. However, we were unable to determine with our data source if post-acute use of non-Medicare nursing home care increased after implementation of PPS. Further research with data on Medicare Part B services and service use paid by other sources would clarify these alternative scenarios. Our results indicated that the durations of stay in Medicare SNFs declined after PPS, although we could not explain these results with the data set available for this study.
In contrast to post-acute SNF care, there was an increase in the use of home health services that followed hospital discharges as well as Medicare SNF discharges. Several reasons can be suggested for the increase in HHA use. First, the increased use of HHA was expected in light of PPS incentives to discharge hospital patients to lower levels of care. Second, between 1982 and 1985, there was a major increase in the availability of HHA services across the United States. For example, the number of home health care agencies participating in Medicare increased from 3,600 to 5,900 over this time (Hall and Sangl, 1987). Increases in the number of HHA providers could have contributed substantially to the increase in the use of HHA services after PPS.
Vulnerable Subgroups of the Population
In order to differentiate among the individuals comprising the disabled noninstitutionalized Medicare population, we identified subgroups with the GOM analysis. The characteristics of the four subgroups suggested different needs for Medicare services and different risks of various outcomes, such as hospital readmission and mortality. For example, there might have been substitution between hospital and SNF care for the mildly disabled, but for the heart and lung disease patients, no differences in hospital length of stay were observed. A higher rate of other episodes terminating in deaths among the Oldest-old suggests that Medicare service use changed for this group. To interpret this finding requires more detailed data on the site and types of other services such individuals received.
Because the analysis was restricted to Medicare Part A service use, the relationship of the changes in hospital reimbursement and the use of other Medicare services (e.g., outpatient care) and non-Medicare services (e.g., nursing home stays paid privately or by Medicaid) could not be determined. This restricts inferences about case-mix changes of hospital admissions, because lighter care patients who might have been admitted to inpatient hospital care were treated in outpatient facilities instead. This limitation affected our analyses of the patterns of no Medicare Part A service use episodes, i.e., other episodes.
Our definition of how Medicare hospital, SNF, and HHA episodes ended required coterminous occurrences of two states (e.g., hospital and home health care). Therefore, post-acute care services that were initiated several days after hospital discharge were not measured as hospital transition events. Our decision rule, therefore, probably produced lower estimates of post-acute Medicare SNF and HHA utilization rates. However, because our objective in this study was to measure pre- and post-PPS changes in utilization, the application of a uniform definition for both study periods produced comparable measures for the two periods.
The Medicare use patterns observed indicate the complexity of the problem of evaluating an intervention, even one as major as PPS. Although hospital LOS declined, we would expect that both SNF and HHA use would increase in terms of both incidence and duration. The absence of an increase in SNF admission after hospital stays was surprising and could be attributed to many different reasons, including nursing homes' reluctance to admit higher cost patients, higher demand rates for SNF coverage under Medicare, and substitution of HHA care for some of the patients that might have extended SNF care in the absence of the rapid increase in HHAs.
The reduced expected duration of both SNF and HHA care appears to be the result of changes in the composition of patients entering SNFs and HHAs pre- and post-PPS. Although some changes in the intensity of services provided under SNF and HHA care were observed, this is requires further study.
CONCLUSIONS
The purpose of this study was to provide empirical information on Medicare hospital PPS effects on an important subgroup of Medicare beneficiaries--the functionally disabled. The results of our study provided further insights on the effects of PPS on the changes in utilization patterns and mortality outcomes of this vulnerable subgroup between two periods of time, 1982-83 and 1984-85. Along with other studies, our results provide a better understanding of the changes that result from a landmark change in Medicare policies. As these studies are completed, policymakers will have a better understanding of the effects of PPS on the provision and outcomes of various types of Medicare and non-Medicare services. Of particular importance will be improved information on the different locations of services in which Medicare beneficiaries receive care (e.g., increased outpatient care) and how such changes affect overall costs per episode of illness. Similarly, relatively little information currently exists on the status of patients discharged from hospitals in terms of their health status and use of community-based recuperative and rehabilitative care.
In conclusion, our study on the effects of hospital PPS on the functionally impaired subgroup of Medicare beneficiaries found expected changes in service utilization and no systemwide adverse outcomes. There were noted systematic changes in hospital case mix, measured in terms of chronic medical and functional impairments, with the proportion of severely functionally dependent persons declining and the Oldest-old with multiple medical problems and the subgroup with cardiopulmonary problems increasing. This suggests a shift in the medical acuity of hospital stays that were paralleled in SNFs. In HHA episodes, in contrast, medical acuity declined.
In addition to changes in the chronic case mix of the different service measures, there were systematic changes in the service patterns of the different subgroups . For example, among the Mildly disabled there appeared to be a substitution of SNF for hospital services. In other groups, there was a decline in the LOS for HHA episodes.
The changes in service utilization patterns were expected as a consequence of financial incentives provided by PPS. Declines in hospital LOS were expected because of the PPS incentive to hospitals to become more efficient. It is important to note that, for certain subgroups of the disabled elderly, hospital LOS actually remained the same before and after implementation of PPS. This finding suggests that, in spite of the financial incentives, hospitals were unable to reduce LOS for certain types of patients. The absence of increased SNF use was surprising, but the increase in HHA use was expected. It is also suggested that quality of care, in terms of hospital readmissions and mortality, was not systematically affected by PPS. Further research on community services, nursing home use, and other periods of care would be necessary to develop a complete picture of the effects of PPS on impaired Medicare beneficiaries.
REFERENCES
Conklin, J.E., and Houchens, R.L.: PPS Impact on Mortality Rates: Adjustments for Case-Mix Severity. Final Report. HCFA Contract No. 500-85-0015. Prepared for Health Care Financing Administration. Oct. 6, 1987.
DesHarnais, S., Kobrinski, E., Chesney, J., et al.: The early effects of the prospective payment system on inpatient utilization and the quality of care. Inquiry 24:7-16. 1987.
Hall, M.J., and Sangl, J.: Prospective Payment System on Long Term Care Providers. Paper presented at the Annual Meeting of the American Public Health Association. New Orleans. Oct. 20, 1987.
Iezzoni, L.I.: Change in the health care system: The search for proof. Journal of the American Geriatrics Society 34:615-617. 1986.
Long, M.J., Chesney, J.D., Ament, R.P., et al.: The effect of PPS on hospital product and productivity. Medical Care 25(6):528-538. 1987.
Manton, K.G., Stallard, E., Woodbury, M.A., and Yashin, A.I.: Grade of membership techniques for studying complex event history processes with unobserved covariates. In Clogg, C., ed. Sociological Methodology, 1987. San Francisco. Jossey-Bass. 1987.
Neu, C.R., and Harrison, S.: Post-hospital Care Before and After the Medicare Prospective Payment System. Paper presented at the Annual Meeting of the American Public Health Association. New Orleans. Oct. 20, 1987.
Shaughnessy, P.W., Kramer, A.M., and Schlenker, R.E.: Case-Mix, Quality, and Reimbursement Issues and Findings from Selected Studies of Long-Term Care. Paper presented at the Office of Research and Demonstrations, Health Care Financing Administration. Baltimore. Aug. 1987.
Stern, R.S., and Epstein, A.M.: Institutional responses to prospective payment based on diagnosis-related groups. New England Journal of Medicine 312:621-627. 1985.
Woodbury, M.A., and Manton, K.G.: A new procedure for analysis of medical classification. Methods of Information in Medicine, 21:210-220. 1982.
TABLES
| TABLE 1. Discharge Outcomes and Hospital Lengths of Stay of Subgroups of the Medicare Population, by Medicare Beneficiary Subgroup: United States, 1982 and 1984 | |||
| Discharge Status | Medicare Beneficiary Subgroup | ||
| Community Nondisabled | Community Disabled | Institutionalized | |
| All episodes | Number of weighted episodes | ||
| 1982 | 6,347,380 | 3,154,581 | 646,864 |
| 1984 | 5,235,110 | 3,013,235 | 595,282 |
| Length of stay in days | |||
| 1982 | 10.1 | 11.6 | 12.0 |
| 1984 | 8.8 | 10.4 | 10.0 |
| Skilled nursing facility | Discharge rate | ||
| 1982 | 2.1 | 4.9 | 13.8 |
| 1984 | 2.4 | 4.5 | 10.0 |
| Length of stay in days | |||
| 1982 | 22.0 | 19.2 | 12.7 |
| 1984 | 20.0 | 14.3 | 14.4 |
| Home health agency | Discharge rate | ||
| 1982 | 5.5 | 11.6 | 1.5 |
| 1984 | 7.6 | 14.5 | 2.5 |
| Length of stay in days | |||
| 1982 | 17.2 | 13.6 | 13.1 |
| 1984 | 14.3 | 12.2 | 12.6 |
| Other facility | Discharge rate | ||
| 1982 | 85.2 | 72.2 | 69.6 |
| 1984 | 82.5 | 70.5 | 71.7 |
| Length of stay in days | |||
| 1982 | 9.0 | 10.2 | 11.6 |
| 1984 | 7.7 | 9.6 | 9.1 |
| Dead | Discharge rate | ||
| 1982 | 4.7 | 8.2 | 12.8 |
| 1984 | 5.2 | 8.1 | 13.2 |
| Length of stay in days | |||
| 1982 | 15.0 | 15.1 | 13.7 |
| 1984 | 12.4 | 11.4 | 10.0 |
| NOTE: Rates do not add to 100 percent because of episodes censored by end of study. SOURCES: Health Care Financing Administration and Office of the Assistant Secretary for Planning and Evaluation: Data from the 1982 National Long-Term Care Survey; Health Care Financing Administration and National Center for Health Services Research and Health Care Technology Assessment: Data from the 1984 National Long-Term Care Survey. | |||
| TABLE 2. Pure-Type Probability Values for the Disabled Community Elderly, by Subgroup Type: United States, 1982 and 1984 | |||||
| Variable | Frequency | Subgroup Type | |||
| MildlyDisabled(1) | Oldest-Old(2) | Heart andLung Problems(3) | Severely ADLDependent(4) | ||
| Sociodemographic | |||||
| Sex: | |||||
| Male | 35.57 | 53.97 | 30.57 | 4.39 | 48.26 |
| Female | 64.43 | 46.03 | 69.43 | 95.61 | 51.74 |
| Age: | |||||
| 65-69 years | 14.75 | 17.63 | 6.49 | 22.50 | 13.24 |
| 70-74 years | 19.50 | 22.66 | 9.37 | 29.42 | 17.71 |
| 75-79 years | 22.13 | 27.09 | 13.14 | 32.35 | 16.57 |
| 80-84 years | 21.14 | 22.25 | 24.10 | 9.66 | 27.74 |
| 85-89 years | 14.63 | 9.68 | 27.52 | 4.93 | 15.14 |
| 90 years or over | 7.85 | 0.69 | 19.39 | 1.15 | 9.60 |
| Marital status: | |||||
| Married | 42.90 | 53.57 | 29.40 | 27.70 | 58.84 |
| Not married | 57.10 | 46.43 | 70.60 | 72.30 | 41.16 |
| Self-assessment of health: | |||||
| Excellent | 9.02 | 22.01 | 10.59 | 0.00 | 0.27 |
| Good | 25.15 | 45.98 | 40.43 | 4.51 | 3.83 |
| Fair | 32.26 | 30.78 | 37.16 | 43.44 | 16.21 |
| Poor | 33.57 | 1.23 | 11.82 | 52.05 | 76.69 |
| Formerly nursing home patient | 11.41 | 3.01 | 21.83 | 3.24 | 18.75 |
| Hospital stay in last year | 49.93 | 28.67 | 39.40 | 66.57 | 71.78 |
| Number of helpers: | |||||
| 0 | 11.46 | 32.02 | 5.12 | 5.69 | 0.38 |
| 1 | 43.20 | 48.83 | 38.38 | 42.52 | 42.80 |
| 2 | 25.49 | 15.50 | 32.83 | 26.27 | 27.97 |
| 3 | 12.95 | 2.28 | 14.93 | 21.17 | 15.24 |
| 4 or more | 6.90 | 1.37 | 8.75 | 4.35 | 13.61 |
| Number of days per week all helpers assist: | |||||
| 0 | 18.67 | 47.94 | 7.84 | 13.12 | 2.69 |
| 1-5 | 17.85 | 22.68 | 16.60 | 31.58 | 1.86 |
| 6-7 | 35.90 | 23.90 | 42.49 | 34.04 | 43.88 |
| 8-12 | 13.61 | 3.79 | 18.93 | 15.81 | 16.95 |
| 13 or more | 13.97 | 1.69 | 14.14 | 5.44 | 34.63 |
| Health care costs paid by Medicare in past year | 20.10 | 8.27 | 12.01 | 35.58 | 29.07 |
| Current Medicaid participant | 22.21 | 11.40 | 15.99 | 35.83 | 29.41 |
| Home nursing service | 20.64 | 0.00 | 25.24 | 10.47 | 53.53 |
| ADL limitations | |||||
| Eating | 10.81 | 0.00 | 0.00 | 0.00 | 59.83 |
| Getting in or out of bed | 38.67 | 0.00 | 71.79 | 0.00 | 100.00 |
| Getting about inside | 52.19 | 0.00 | 100.00 | 0.00 | 100.00 |
| Dressing | 32.28 | 0.00 | 0.00 | 0.00 | 100.00 |
| Bathing | 57.86 | 0.00 | 100.00 | 34.65 | 100.00 |
| Toileting | 33.45 | 0.00 | 49.62 | 0.00 | 100.00 |
| Bedfast | 2.34 | 0.00 | 0.00 | 0.00 | 10.58 |
| No inside activity | 3.69 | 0.00 | 0.00 | 0.00 | 17.11 |
| Wheelchairfast | 7.24 | 0.00 | 0.00 | 0.00 | 32.79 |
| IADL limitations | |||||
| Heavy work | 84.46 | 33.31 | 100.00 | 100.00 | 100.00 |
| Light work | 38.33 | 0.00 | 100.00 | 0.00 | 100.00 |
| Laundry | 60.37 | 0.00 | 100.00 | 50.64 | 100.00 |
| Cooking | 47.61 | 0.00 | 100.00 | 0.00 | 100.00 |
| Grocery shopping | 75.21 | 0.00 | 100.00 | 100.00 | 100.00 |
| Getting about outside | 74.89 | 3.32 | 100.00 | 100.00 | 100.00 |
| Traveling | 74.06 | 0.00 | 100.00 | 100.00 | 100.00 |
| Managing money | 38.82 | 0.00 | 41.83 | 3.68 | 100.00 |
| Taking medicine | 36.32 | 0.00 | 0.00 | 0.00 | 100.00 |
| Telephoning | 23.98 | 0.00 | 0.00 | 0.00 | 100.00 |
| IADL2 limitations | |||||
| Climbing stairs: | |||||
| No difficulty | 10.73 | 31.78 | 0.00 | 0.00 | 0.00 |
| Some difficulty | 24.86 | 68.22 | 0.00 | 0.00 | 10.95 |
| Very difficult | 34.12 | 0.00 | 44.67 | 88.04 | 0.00 |
| Cannot | 30.30 | 0.00 | 55.33 | 11.96 | 89.05 |
| Bending for socks: | |||||
| No difficulty | 33.75 | 92.54 | 0.00 | 0.00 | 0.00 |
| Some difficulty | 26.55 | 7.46 | 53.10 | 56.51 | 0.00 |
| Very difficult | 20.93 | 0.00 | 46.90 | 43.49 | 8.42 |
| Cannot | 18.77 | 0.00 | 0.00 | 0.00 | 91.58 |
| Holding 10 lb. package: | |||||
| No difficulty | 17.56 | 58.69 | 0.00 | 0.00 | 0.00 |
| Some difficulty | 14.44 | 37.49 | 4.48 | 8.96 | 0.00 |
| Very difficult | 16.47 | 3.82 | 20.86 | 42.96 | 0.00 |
| Cannot | 51.53 | 0.00 | 74.66 | 48.08 | 100.00 |
| Reaching overhead: | |||||
| No difficulty | 45.81 | 96.41 | 77.37 | 0.00 | 0.00 |
| Some difficulty | 22.91 | 3.59 | 22.63 | 47.43 | 18.48 |
| Very difficult | 17.49 | 0.00 | 0.00 | 39.64 | 32.84 |
| Cannot | 13.79 | 0.00 | 0.00 | 12.93 | 48.68 |
| Combing hair: | |||||
| No difficulty | 60.32 | 100.00 | 99.96 | 0.00 | 0.00 |
| Some difficulty | 18.02 | 0.00 | 0.04 | 75.47 | 17.70 |
| Very difficult | 10.83 | 0.00 | 0.00 | 24.53 | 29.85 |
| Cannot | 10.83 | 0.00 | 0.00 | 0.00 | 52.44 |
| Washing hair: | |||||
| No difficulty | 39.80 | 100.00 | 31.89 | 0.00 | 0.00 |
| Some difficulty | 14.47 | 0.00 | 8.19 | 61.94 | 0.00 |
| Very difficult | 11.03 | 0.00 | 12.29 | 38.06 | 3.21 |
| Cannot | 34.70 | 0.00 | 47.62 | 0.00 | 96.79 |
| Grasping small objects: | |||||
| No difficulty | 59.36 | 100.00 | 100.00 | 0.00 | 0.00 |
| Some difficulty | 21.65 | 0.00 | 0.00 | 72.99 | 31.07 |
| Very difficult | 11.95 | 0.00 | 0.00 | 27.01 | 32.10 |
| Cannot | 7.04 | 0.00 | 0.00 | 0.00 | 36.83 |
| Can see well enough to read newsprint | 67.46 | 89.82 | 77.63 | 64.91 | 28.90 |
| Medical conditions | |||||
| Rheumatism | 71.77 | 57.73 | 47.15 | 100.00 | 76.04 |
| Paralysis | 12.29 | 0.00 | 0.00 | 0.00 | 54.02 |
| Permanent stiffness | 26.49 | 5.42 | 0.00 | 61.53 | 47.16 |
| Multiple sclerosis | 1.26 | 0.00 | 0.00 | 0.00 | 5.46 |
| Cerebral palsy | 0.56 | 0.00 | 0.00 | 0.00 | 2.44 |
| Epilepsy | 1.10 | 0.82 | 0.00 | 0.73 | 2.98 |
| Parkinsons disease | 4.41 | 1.88 | 0.00 | 0.00 | 16.33 |
| Glaucoma | 9.19 | 6.41 | 14.76 | 3.92 | 11.89 |
| Diabetes | 21.22 | 11.92 | 0.82 | 45.38 | 30.52 |
| Cancer | 8.21 | 5.98 | 10.77 | 8.90 | 7.57 |
| Constipation | 36.74 | 14.17 | 0.00 | 84.36 | 62.18 |
| Insomnia | 41.85 | 19.19 | 0.00 | 100.00 | 54.26 |
| Headache | 18.94 | 0.00 | 0.00 | 63.90 | 26.42 |
| Obesity | 17.67 | 13.51 | 3.95 | 51.63 | 5.49 |
| Arteriosclerosis | 36.53 | 12.41 | 0.00 | 80.46 | 71.80 |
| Mental retardation | 2.28 | 0.00 | 0.00 | 0.00 | 10.18 |
| Senility | 13.24 | 0.00 | 0.00 | 0.00 | 59.53 |
| Heart attack | 9.11 | 0.00 | 0.00 | 31.43 | 9.67 |
| Other heart problems | 33.83 | 8.87 | 0.00 | 100.00 | 41.62 |
| Hypertension | 43.96 | 33.37 | 2.85 | 100.00 | 47.63 |
| Stoke | 11.44 | 4.20 | 0.00 | 7.63 | 38.62 |
| Circulation trouble | 56.15 | 23.13 | 0.00 | 100.00 | 100.00 |
| Pneumonia | 7.53 | 0.00 | 0.00 | 21.85 | 10.91 |
| Bronchitis | 12.84 | 0.00 | 0.00 | 43.56 | 13.52 |
| Influenza | 14.98 | 6.80 | 0.00 | 41.40 | 15.80 |
| Emphysema | 12.91 | 6.12 | 5.02 | 29.61 | 12.92 |
| Asthma | 7.86 | 1.67 | 0.00 | 25.16 | 8.06 |
| Broken hip | 2.49 | 0.00 | 8.81 | 0.00 | 1.39 |
| Other broken bones | 6.14 | 2.79 | 13.36 | 2.55 | 5.98 |
| NOTES: ADL is activity of daily living. IADL is instrumental activity of daily living. IADL2 is measures of impairments of physical functioning. SOURCES: Health Care Financing Administration and Office of the Assistant Secretary for Planning and Evaluation: Data from the 1982 National Long-Term Care Survey; Health Care Financing Administration and National Center for Health Services Research and Health Care Technology Assessment: Data from the 1984 National Long-Term Care Survey. | |||||
| TABLE 3. Distribution of Disabled Elderly in Different Service Settings Pre- and Post-PPS, by Subgroup Type: United States, 1982 and 1984 | |||||
| Service Setting | Total | Subgroup Type | |||
| MildlyDisabled(1) | Oldest-Old(2) | Heart andLung Problems(3) | Severely ADLDependent(4) | ||
| Hospital | |||||
| 1982 | 100.0 | 30.0 | 25.1 | 24.5 | 20.3 |
| 1984 | 100.0 | 29.7 | 27.2 | 26.2 | 16.9 |
| SNF | |||||
| 1982 | 100.0 | 27.2 | 28.1 | 21.5 | 23.2 |
| 1984 | 100.0 | 30.1 | 30.8 | 20.4 | 18.7 |
| HHA | |||||
| 1982 | 100.0 | 22.6 | 27.1 | 21.7 | 28.5 |
| 1984 | 100.0 | 21.4 | 28.2 | 21.4 | 29.0 |
| Other1 | |||||
| 1982 | 100.0 | 32.2 | 24.0 | 23.6 | 20.2 |
| 1984 | 100.0 | 31.5 | 26.4 | 21.0 | 21.1 |
| Overall GOM sums | |||||
| 1982 | 100.0 | 29.2 | 25.3 | 23.4 | 22.1 |
| 1984 | 100.0 | 28.7 | 27.3 | 22.7 | 21.3 |
NOTES: PPS is prospective payment system. ADL is activity of daily living. SNF is skilled nursing facility. HHA is home health agency. GOM is grade of membership. SOURCES: Health Care Financing Administration and Office of the Assistant Secretary for Planning and Evaluation: Data from the 1982 National Long-Term Care Survey; Health Care Financing Administration and National Center for Health Services Research and Health Care Technology Assessment: Data from the 1984 National Long-Term Care Survey.
|
|||||
| TABLE 4. Medical Hospital Episodes Adjusted for End of Study, by Discharge Status: United States, 1982 and 1984 | |||||||
| Discharge Status | Observed1 | Unadjusted | Adjusted for Case Mix | ||||
| Chi-Square | Degrees ofFreedom | SignificanceLevel | Chi-Square | Degrees ofFreedom | SignificanceLevel | ||
| All episodes | |||||||
| Unweighted episodes in 1982 | 1,365 | 69.0 | 40 | .005 | 168.1 | 160 | .550 |
| Weighted episodes | 3,154,581 | ||||||
| Hospital LOS | 11.6 | ||||||
| Unweighted episodes in 1984 | 1,039 | ||||||
| Weighted episodes | 3,013,235 | ||||||
| Hospital LOS | 10.2 | ||||||
| Discharged to SNF | |||||||
| 1982 rate | 5.2 | 16.9 | 8 | .050 | 43.3 | 32 | .100 |
| Hospital LOS | 20.2 | ||||||
| 1984 rate | 4.7 | ||||||
| Hospital LOS | 14.7 | ||||||
| Discharged to HHA | |||||||
| 1982 rate | 12.6 | 18.3 | 8 | .025 | 47.5 | 32 | .050 |
| Hospital LOS | 14.3 | ||||||
| 1984 rate | 15.6 | ||||||
| Hospital LOS | 12.9 | ||||||
| Discharged to other2 | |||||||
| 1982 rate | 73.2 | 4.3 | 8 | .900 | 18.6 | 32 | .975 |
| Hospital LOS | 10.1 | ||||||
| 1984 rate | 70.6 | ||||||
| Hospital LOS | 9.3 | ||||||
| Discharged dead | |||||||
| 1982 rate | 9.1 | 16.4 | 8 | .050 | 29.6 | 32 | .750 |
| Hospital LOS | 15.7 | ||||||
| 1984 rate | 9.1 | ||||||
| Hospital LOS | 11.1 | ||||||
NOTES: LOS is length of stay. SNF is skilled nursing facility. HHA is home health agency. SOURCES: Health Care Financing Administration and Office of the Assistant Secretary for Planning and Evaluation: Data from the 1982 National Long-Term Care Survey; Health Care Financing Administration and National Center for Health Services Research and Health Care Technology Assessment: Data from the 1984 National Long-Term Care Survey.
|
|||||||
| TABLE 5. Medicare Skilled Nursing Facility Episodes Adjusted for End of Study, by Discharge Status: United States, 1982 and 1984 | |||||||
| Discharge Status | Observed1 | Unadjusted | Adjusted for Case Mix | ||||
| Chi-Square | Degrees ofFreedom | SignificanceLevel | Chi-Square | Degrees ofFreedom | SignificanceLevel | ||
| All episodes | |||||||
| Unweighted episodes in 1982 | 249 | 73.9 | 45 | .005 | 162.6 | 180 | .400 |
| Weighted episodes | 198,939 | ||||||
| SNF LOS | 69.9 | ||||||
| Unweighted episodes in 1984 | 208 | ||||||
| Weighted episodes | 202,859 | ||||||
| SNF LOS | 37.7 | ||||||
| Discharged to hospital | |||||||
| 1982 rate | 30.6 | 16.8 | 9 | .050 | 32.2 | 36 | .500 |
| SNF LOS | 87.5 | ||||||
| 1984 rate | 18.0 | ||||||
| SNF LOS | 48.0 | ||||||
| Discharged to HHA | |||||||
| 1982 rate | 5.8 | 10.6 | 7 | .250 | 18.2 | 28 | .950 |
| SNF LOS | 47.5 | ||||||
| 1984 rate | 11.9 | ||||||
| SNF LOS | 30.3 | ||||||
| Discharged to other2 | |||||||
| 1982 rate | 47.5 | 11.4 | 9 | .250 | 51.5 | 36 | .100 |
| SNF LOS | 62.6 | ||||||
| 1984 rate | 61.1 | ||||||
| SNF LOS | 36.7 | ||||||
| Discharged dead | |||||||
| 1982 rate | 9.0 | 11.2 | 9 | .500 | 21.8 | 36 | .975 |
| SNF LOS | 66.5 | ||||||
| 1984 rate | 9.0 | ||||||
| SNF LOS | 33.1 | ||||||
NOTES: LOS is length of stay. SNF is skilled nursing facility. SOURCES: Health Care Financing Administration and Office of the Assistant Secretary for Planning and Evaluation: Data from the 1982 National Long-Term Care Survey; Health Care Financing Administration and National Center for Health Services Research and Health Care Technology Assessment: Data from the 1984 National Long-Term Care Survey
|
|||||||
| TABLE 6. Medicare Home Health Agency Episodes Adjusted for End of Study, by Discharge Status: United States, 1982 and 1984 | |||||||
| Discharge Status | Observed1 | Unadjusted | Adjusted for Case Mix | ||||
| Chi-Square | Degrees ofFreedom | SignificanceLevel | Chi-Square | Degrees ofFreedom | SignificanceLevel | ||
| All episodes | |||||||
| Unweighted episodes in 1982 | 709 | 101.6 | 52 | .001 | 228.3 | 208 | .500 |
| Weighted episodes | 1,035,916 | ||||||
| HHA LOS | 77.4 | ||||||
| Unweighted episodes in 1984 | 686 | ||||||
| Weighted episodes | 1,548,840 | ||||||
| HHA LOS | 52.5 | ||||||
| Discharged to hospital | |||||||
| 1982 rate | 14.7 | 12.6 | 12 | .500 | 38.5 | 48 | .900 |
| HHA LOS | 78.5 | ||||||
| 1984 rate | 10.8 | ||||||
| HHA LOS | 62.8 | ||||||
| Discharged to SNF | |||||||
| 1982 rate | 0.5 | 9.8 | 6 | .250 | 9.6 | 24 | .990 |
| HHA LOS | 56.7 | ||||||
| 1984 rate | 0.6 | ||||||
| HHA LOS | 39.8 | ||||||
| Discharged to other2 | |||||||
| 1982 rate | 80.2 | 14.8 | 11 | .500 | 52.9 | 44 | .500 |
| HHA LOS | 75.8 | ||||||
| 1984 rate | 85.0 | ||||||
| HHA LOS | 51.2 | ||||||
| Discharged dead | |||||||
| 1982 rate | 4.7 | 11.7 | 11 | .500 | 26.4 | 44 | .990 |
| HHA LOS | 102.5 | ||||||
| 1984 rate | 3.7 | ||||||
| HHA LOS | 52.7 | ||||||
NOTES: LOS is length of stay. SNF is skilled nursing facility. HHA is home health agency. SOURCES: Health Care Financing Administration and Office of the Assistant Secretary for Planning and Evaluation: Data from the 1982 National Long-Term Care Survey; Health Care Financing Administration and National Center for Health Services Research and Health Care Technology Assessment: Data from the 1984 National Long-Term Care Survey.
|
|||||||
| TABLE 7. Other Episodes1 Adjusted for End of Study, by Discharge Status: United States, 1982 and 1984 | |||||||
| Discharge Status | Observed2 | Unadjusted | Adjusted for Case Mix | ||||
| Chi-Square | Degrees ofFreedom | SignificanceLevel | Chi-Square | Degrees ofFreedom | SignificanceLevel | ||
| All episodes | |||||||
| Unweighted episodes in 1982 | 1,263 | 84.7 | 60 | .025 | 232 | 240 | .750 |
| Weighted episodes | 7,486,427 | ||||||
| Duration | 231.0 | ||||||
| Unweighted episodes in 1984 | 1,269 | ||||||
| Weighted episodes | 8,499,136 | ||||||
| Duration | 236.9 | ||||||
| Discharged to hospital | |||||||
| 1982 rate | 80.9 | 22.6 | 12 | .050 | 45.1 | 48 | .750 |
| Duration | 245.4 | ||||||
| 1984 rate | 70.7 | ||||||
| Duration | 254.5 | ||||||
| Discharged to SNF | |||||||
| 1982 rate | 1.3 | 12.1 | 12 | .500 | 24.5 | 48 | .990 |
| Duration | 290.7 | ||||||
| 1984 rate | 1.4 | ||||||
| Duration | 266.5 | ||||||
| Discharged to HHA | |||||||
| 1982 rate | 13.6 | 27.9 | 12 | .010 | 69.4 | 48 | .025 |
| Duration | 150.5 | ||||||
| 1984 rate | 21.5 | ||||||
| Duration | 170.7 | ||||||
| Discharged dead | |||||||
| 1982 rate | 4.2 | 7.9 | 12 | .900 | 51.4 | 48 | .500 |
| Duration | 198.1 | ||||||
| 1984 rate | 6.8 | ||||||
| Duration | 253.3 | ||||||
NOTES: SNF is skilled nursing facility. HHA is home health agency. SOURCES: Health Care Financing Administration and Office of the Assistant Secretary for Planning and Evaluation: Data from the 1982 National Long-Term Care Survey; Health Care Financing Administration and National Center for Health Services Research and Health Care Technology Assessment: Data from the 1984 National Long-Term Care Survey.
|
|||||||
| TABLE 8. Medicare Hospital Patterns of Subgroups of Disabled Beneficiaries, by Subgroup Type: United States, 1982 and 1984 | ||||
| Discharge Status | Subgroup Type | |||
| MildlyDisabled(1) | Oldest-Old(2) | Health andLung Problems(3) | Severely ADLDependent(4) | |
| Weighted episodes | ||||
| 1982 | 924,009 | 786,295 | 754,677 | 689,510 |
| 1984 | 915,270 | 740,171 | 737,759 | 620,036 |
| Length of stay | ||||
| 1982 | 10.81 | 14.5 | 10.5 | 12.1 |
| 1984 | 8.2 | 13.5 | 10.6 | 9.5 |
| Discharged to hospital | ||||
| 1982 rate | --- | --- | --- | --- |
| LOS | --- | --- | --- | --- |
| 1984 rate | --- | --- | --- | --- |
| LOS | --- | --- | --- | --- |
| Discharged to SNF | ||||
| 1982 rate | 2.41 | 12.3 | 1.9 | 10.0 |
| LOS | 16.5 | 26.7 | 16.8 | 15.1 |
| 1984 rate | 2.9 | 10.7 | 1.6 | 6.4 |
| LOS | 10.1 | 14.3 | 21.5 | 21.1 |
| Discharged to HHA | ||||
| 1982 rate | 6.6 | 18.2 | 7.3 | 28.7 |
| LOS | 21.9 | 11.7 | 10.4 | 14.4 |
| 1984 rate | 6.3 | 15.6 | 18.9 | 29.7 |
| LOS | 14.9 | 16.7 | 11.5 | 9.6 |
| Discharged to other | ||||
| 1982 rate | 82.6 | 54.3 | 88.7 | 44.5 |
| LOS | 9.0 | 13.0 | 10.0 | 9.4 |
| 1984 rate | 84.8 | 61.6 | 75.7 | 44.9 |
| LOS | 7.6 | 13.0 | 9.6 | 7.7 |
| Discharged dead | ||||
| 1982 rate | 8.4 | 15.2 | 2.1 | 16.8 |
| LOS | 17.8 | 13.6 | 27.4 | 13.5 |
| 1984 rate | 6.0 | 12.0 | 3.9 | 19.0 |
| LOS | 9.7 | 12.0 | 20.1 | 9.9 |
NOTES: LOS is length of stay. SNF is skilled nursing facility. HHA is home health agency. ADL is activity of daily living. SOURCES: Health Care Financing Administration and Office of the Assistant Secretary for Planning and Evaluation: Data from the 1982 National Long-Term Care Survey; Health Care Financing Administration and National Center for Health Services Research and Health Care Technology Assessment: Data from the 1984 National Long-Term Care Survey.
|
||||
NOTES
CHARACTERISTICS OF THE ELDERLY LONG-TERM CARE POPULATION AND ITS SERVICE USE REPORTS AVAILABLE
- Epidemiological, Demographic and Social Correlates of Disability among the Elderly
- HTML http://aspe.hhs.gov/daltcp/reports/1988/epdemes.htm
- PDF http://aspe.hhs.gov/daltcp/reports/1988/epdemes.pdf
- Recent Changes in Service Use Patterns of Disabled Medicare Beneficiaries
- HTML http://aspe.hhs.gov/daltcp/reports/1990/recentes.htm
- PDF http://aspe.hhs.gov/daltcp/reports/1990/recentes.pdf
- Risks of Entering Nursing Homes for Long and Short Stays
- HTML http://aspe.hhs.gov/daltcp/reports/1988/nhlsstes.htm
- PDF http://aspe.hhs.gov/daltcp/reports/1988/nhlsstes.pdf
- The Effect of Nursing Home Use on Medicaid Eligibility
- HTML http://aspe.hhs.gov/daltcp/reports/1989/nhumedes.htm
- PDF http://aspe.hhs.gov/daltcp/reports/1989/nhumedes.pdf
To obtain a printed copy of this report, send the full report title and your mailing information to:
U.S. Department of Health and Human ServicesOffice of Disability, Aging and Long-Term Care PolicyRoom 424E, H.H. Humphrey Building200 Independence Avenue, S.W.Washington, D.C. 20201FAX: 202-401-7733Email: webmaster.DALTCP@hhs.gov
RETURN TO:
Office of Disability, Aging and Long-Term Care Policy (DALTCP) Home [http://aspe.hhs.gov/_/office_specific/daltcp.cfm]Assistant Secretary for Planning and Evaluation (ASPE) Home [http://aspe.hhs.gov]U.S. Department of Health and Human Services Home [http://www.hhs.gov]